హైదరాబాద్లో మీ ఇల్లు చెరువు బఫర్ జోన్లో ఉందా, ఎఫ్టీఎల్ పరిధిలో ఉందా? తెలుసుకోవడం ఎలా

ఫొటో సోర్స్, Getty Images
- రచయిత, అమరేంద్ర యార్లగడ్డ
- హోదా, బీబీసీ ప్రతినిధి
- ప్రచురణ
- చదివే సమయం: 6 నిమిషాలు
మీరు కొనాలనుకుంటున్న ఇల్లు లేదా ప్లాట్.. చెరువు ఎఫ్టీఎల్, బఫర్ జోన్లో ఉందా?
ఇప్పుడు హైదరాబాద్, దాని చుట్టుపక్కల ప్రాపర్టీ కొనుగోలు చేయాలనుకునే వారిని వెంటాడుతున్న ప్రశ్న ఇది.
హైదరాబాద్ డిజాస్టర్ రెస్పాన్స్ అండ్ అసెట్స్ మానిటరింగ్ అండ్ ప్రొటెక్షన్ ఏజెన్సీ (హైడ్రా)ను ప్రభుత్వం ఏర్పాటు చేసిన తరువాత చెరువులు, కుంటల ఫుల్ ట్యాంక్ లెవల్(ఎఫ్టీఎల్), బఫర్ జోన్లో ఉన్న నిర్మాణాలను హైడ్రా కూల్చివేస్తోంది.
ఈ సందర్భంలో చెరువులు, కుంటలు, నాలాలు, వాగులకు దగ్గర్లో ప్రాపర్టీ కొనాలనుకుంటే, అది ఎఫ్టీఎల్ లేదా బఫర్ జోన్లో ఉందేమో అని ముందుగానే తనిఖీ చేసుకోవడం కీలకంగా మారింది.
అంతేకాకుండా చెరువులు, కుంటలు, నాలాలకు సమీపంలో ఇల్లు, అపార్టుమెంట్లు కొనుగోలు చేస్తే వరదలు వచ్చినప్పుడు మునిగిపోతున్న సందర్భాలూ ఉన్నాయి.
అలా తనిఖీ చేసుకుంటే మున్ముందు ఎలాంటి ఇబ్బందులూ లేకుండా చూసుకునేందుకు వీలవుతుందని హైడ్రా అధికారులు చెబుతున్నారు.


ఫొటో సోర్స్, telangana.gov.in
త్వరలో వెబ్ సైట్, యాప్ తీసుకువస్తున్నాం: హైడ్రా కమిషనర్ రంగనాథ్
ఎవరైనా ప్రాపర్టీ కొనుగోలు చేయాలనుకునే ముందు అది నాలాల స్థలాలు, చెరువులు, కుంటల ఎఫ్టీఎల్, బఫర్ జోన్లో ఉందో లేదో తెలుసుకోవచ్చని హైడ్రా కమిషనర్ ఏవీ రంగనాథ్ బీబీసీతో చెప్పారు.
‘చెరువులు, కుంటలకు సంబంధించి హెచ్ఎండీఏ నోటిఫై చేసిన చెరువుల వివరాలు హెచ్ఎండీఏ వెబ్ సైట్లో అందుబాటులో ఉన్నాయి. నోటిఫై చేయని చెరువులకు సంబంధించి మ్యాప్లు హెచ్ఎండీఏ అధికారుల వద్ద అందుబాటులో ఉన్నాయి. వాటిని అడిగి, తనిఖీ చేసుకోవచ్చు.
త్వరలో హైడ్రాకు సంబంధించి ప్రత్యేకంగా వెబ్ సైట్ అందుబాటులోకి రానుంది. అందులో అన్ని చెరువుల వివరాలూ పెడతాం. నవంబరుకల్లా ఈ వివరాలన్నీ వెబ్ సైట్లో అందుబాటులోకి తీసుకురావాలని ప్రయత్నిస్తున్నాం.
హైడ్రా తరఫున ప్రత్యేకంగా యాప్ తీసుకురానున్నాం. ఆ యాప్ సాయంతో ప్రజలు కొనుగోలు చేయాలనుకునే ప్రాపర్టీ ప్రదేశానికి వెళ్తే... అది ఎఫ్టీఎల్ లేదా బఫర్ జోన్లోకి వస్తుందా రాదా అనేది యాప్ చెబుతుంది’’ అని రంగనాథ్ బీబీసీతో చెప్పారు.
అపార్టుమెంట్లు, ప్రాపర్టీ కొనుగోలు సమయంలో సమీపంలో చెరువులు లేదా కుంటలు ఉన్నట్లయితే బిల్డర్లు, వ్యాపారుల నుంచి ఎన్ఓసీ (నిరభ్యంతర పత్రం) అడిగి తీసుకోవాలని రంగనాథ్ సూచించారు.

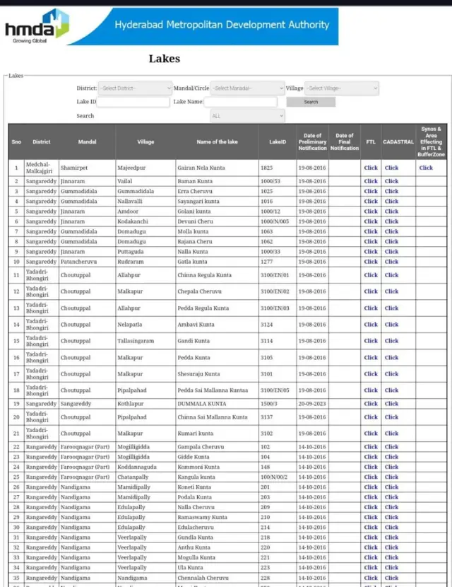
ఫొటో సోర్స్, hmda
ఎఫ్టీఎల్, బఫర్ జోన్లో ఉందా.. లేదా తెలుసుకునేదెలా?
హెచ్ఎండీఏ వెబ్సైట్లో పెట్టిన వివరాల ప్రకారం.. హైదరాబాద్ మహానగరాభివృద్ధి సంస్థ పరిధిలో 2,857 చెరువులు ఉన్నాయి.
వీటిలో 168 చెరువులు గ్రేటర్ హైదరాబాద్ మున్సిపల్ కార్పొరేషన్ లిమిట్స్లో ఉండగా.. 2,689 చెరువులు గ్రామ పంచాయతీలు, మున్సిపాలిటీలలో ఉన్నాయి.
ఇప్పటివరకు 2,569 చెరువులను నోటిఫై చేస్తూ హెచ్ఎండీఏ తన వెబ్సైట్లో మ్యాపులు అప్లోడ్ చేసింది.
అంటే చెరువులు లేదా కుంటల పరిధిలో ప్రాపర్టీ ఉందా లేదా అనేది హెచ్ఎండీఏ వెబ్సైట్ ప్రకారం తెలుసుకునే వీలుంది.
హెచ్ఎండీఏ వెబ్సైట్లోకి వెళ్లగానే నోటిఫై అయిన చెరువుల జాబితా కనిపిస్తుంది.
అందులో జిల్లా, మండలం, గ్రామం, చెరువు పేరు, చెరువు ఐడీ, ప్రిలిమినరీ నోటిఫికేషన్ ఇచ్చిన తేదీ, తుది నోటిఫికేషన్ తేదీ, ఎఫ్టీఎల్ హద్దులతో కూడిన మ్యాప్, కడస్ట్రల్ మ్యాప్, ఎఫ్టీఎల్ లేదా బఫర్ జోన్లోకి వచ్చే పట్టా భూముల సర్వే నంబర్లతో కాలమ్స్ ఉంటాయి.
అందులో ఎఫ్టీఎల్ మ్యాప్లు క్లిక్ చేస్తే చెరువుకు సంబంధించిన మ్యాప్ ఓపెన్ అవుతుంది. అక్కడ సరిహద్దుల ఆధారంగా ఎఫ్టీఎల్, బఫర్ జోన్ ఎంతవరకు ఉందో తెలుసుకోవచ్చు.
అయితే, రెండింటినీ సరిపోల్చుకోవడం కొంత కష్టంతో కూడుకున్న పని.
కడస్ట్రల్ మ్యాప్ ఓపెన్ చేస్తే, చెరువుల స్వరూపం, సర్వే నంబర్లు, అందులోకి వచ్చే కాల్వలు, నాలాలు.. ఇలా సమగ్ర స్వరూపం తెలుస్తుంది.
దీని ఆధారంగా ఆ ప్రాపర్టీ ఎఫ్టీఎల్, బఫర్ జోన్లోకి వస్తుందా.. లేదా అనేది తెలుసుకునే వీలుంటుంది.
ముఖ్యంగా సర్వే నంబర్ల ఆధారంగా చెరువు ఎఫ్టీఎల్, బఫర్ జోన్లోకి ప్రాపర్టీ వస్తుందా లేదా అన్నది తెలుసుకోవచ్చు.

రిజిస్ట్రేషన్ల శాఖ సాయంతో
రిజిస్ట్రేషన్ అండ్ స్టాంపుల శాఖకు సంబంధించి వెబ్సైట్లోనూ నిషేధిత భూముల జాబితాను తనిఖీ చేసుకునే అవకాశం ఉంది.
ఈ వెబ్సైట్ ఓపెన్ చేశాక అందులో జిల్లా, మండలం, గ్రామం, వార్డు లేదా సర్వే నంబర్ల వివరాలతో సెర్చ్ చేయవచ్చు.
ప్రభుత్వ భూములు, కోర్టు కేసులు.. ఇలా వివిధ కారణాలతో నిషేధిత జాబితాలో ఉన్న భూముల వివరాలు తెలుస్తాయి.
దాని ఆధారంగా భూములు నిషేధిత జాబితాలో ఉన్నాయా.. లేదా రిజిస్ట్రేషన్ చేసుకోవడానికి అవకాశం ఉందా అనేది తెలుసుకోవచ్చు.
‘‘రిజిస్ట్రేషన్ల శాఖ వెబ్సైట్లో ఒక ఇబ్బంది ఉంది. చెరువులో పట్టా భూములు ఉంటే రిజిస్ట్రేషన్ల శాఖ నిషేధిత భూముల జాబితాలో అవి ఉండకపోవచ్చు. కానీ బిల్డింగ్ రూల్స్, 2012 ప్రకారం ఎఫ్టీఎల్, బఫర్ జోన్లో భవనాలు కట్టడం నిషేధం.
పట్టా భూమి కనుక దాని స్వరూపం పట్టా భూమిగానే రిజిస్ట్రేషన్ల శాఖ వద్ద రిజిస్టర్ అవుతుంది. అందుకే వాటిని కొనుగోలు చేసి భవనాలు కట్టుకోవాలనుకుంటే కొనుగోలుదారులు ఇబ్బందులు పడే అవకాశం ఉంది’’ అని నీటిపారుదల శాఖకు చెందిన అధికారి ఒకరు బీబీసీకి చెప్పారు.

ఎఫ్టీఎల్, బఫర్ జోన్ పరిధి ఎక్కడ వరకు అంటే..
హైదరాబాద్ మహానగరాభివృద్ధి సంస్థ (హెచ్ఎండీఏ)లో ప్రత్యేక విభాగంగా లేక్ ప్రొటెక్షన్ కమిటీని 2010లో అప్పటి ఉమ్మడి ఆంధ్రప్రదేశ్ ప్రభుత్వం ఏర్పాటు చేసింది.
‘‘హెచ్ఎండీఏ పరిధిలోని చెరువుల జాబితా తయారు చేసి ఎఫ్టీఎల్ హద్దులు గుర్తించాలి. ఎఫ్టీఎల్ పరిధిలో ఆక్రమణలు రాకుండా రక్షించాలి. ఇందుకు విస్తృతంగా ప్రచారం చేయాలి. ప్రజల్లో అవగాహన కల్పించాలి’’ అనేవి లేక్ ప్రొటెక్షన్ కమిటీ విధులుగా ప్రభుత్వం స్పష్టం చేసింది.
అలాగే చెరువులు, నాలాలకు సంబంధించి ఎఫ్టీఎల్, బఫర్ జోన్ పరిధులను నిర్దేశిస్తూ 2012 ఏప్రిల్ 7న బిల్డింగ్ రూల్స్ పేరిట జీవోనం.168ను ప్రభుత్వం విడుదల చేసింది.
దీని ప్రకారం… చెరువులు, నదులు, నాలాలు, కుంటలు లేదా శిఖం స్థలాల్లో భవనాలు లేదా డెవలప్మెంట్ కార్యక్రమాలు చేపట్టడానికి వీల్లేదు.
కార్పొరేషన్లు, మున్సిపాలిటీలు, నగర పంచాయతీల పరిధిలో నది హద్దు నుంచి 50 మీటర్లు, ఆయా స్థానిక సంస్థల వెలుపల ఉన్న నది హద్దు నుంచి 100 మీటర్ల వరకు గ్రీన్ బఫర్ జోన్ ఉంటుంది. నది హద్దులను నీటి పారుదల శాఖ, రెవెన్యూ శాఖలు నిర్ధరిస్తాయి.
పది హెక్టార్లు (సుమారు 25 ఎకరాలు) పైబడిన విస్తీర్ణంలోని చెరువులు, కుంటలకు ఎఫ్టీఎల్ హద్దు నుంచి 30 మీటర్లు బఫర్ జోన్గా ఉంటుంది.
ఇందులో 12 అడుగులు వాకింగ్ లేదా సైక్లింగ్ ట్రాక్కు వినియోగించుకోవచ్చని 2016లో ప్రభుత్వం వెసులుబాటు కల్పిస్తూ జీవో ఇచ్చింది.
పది హెక్టార్ల కంటే (25 ఎకరాలకు) తక్కువ విస్తీర్ణంలోని చెరువులు లేదా కుంటలకు ఎఫ్టీఎల్ హద్దు నుంచి 9 మీటర్ల బఫర్ జోన్ ఉంటుంది.
కాలువ, వాగు, నాలా, వరదకాల్వ డ్రెయిన్ కనుక పది మీటర్ల కంటే ఎక్కువ వెడల్పుతో ఉంటే.. వాటికి 9 మీటర్ల బఫర్ జోన్ ఉంటుంది.
పది మీటర్ల కంటే తక్కువ వెడల్పుతో ఉన్న కాలువ, వాగు, నాలా, వరదకాల్వ డ్రెయిన్లకు 2 మీటర్ల బఫర్ జోన్ ఉంటుంది.
దీనికి అనుగుణంగా బఫర్ జోన్లో కేవలం మొక్కలు పెంచడం లేదా వ్యవసాయ అవసరాలకే అవకాశం ఉంటుందని ప్రభుత్వం స్పష్టం చేసింది.
(బీబీసీ కోసం కలెక్టివ్ న్యూస్రూమ్ ప్రచురణ)
(బీబీసీ తెలుగును వాట్సాప్,ఫేస్బుక్, ఇన్స్టాగ్రామ్, ట్విటర్లో ఫాలో అవ్వండి. యూట్యూబ్లో సబ్స్క్రైబ్ చేయండి.)























