PF : એ દોઢ કરોડ ભારતીયો જેમનું 31 હજાર કરોડનું PF કોરોનામાં ખરચાઈ ગયું
- લેેખક, અર્જુન પરમાર
- પદ, બીબીસી ગુજરાતી
- વાંચવાનો સમય: 5 મિનિટ
"સપ્ટેમ્બર 2020નો સમય સમગ્ર વિશ્વની જેમ મારા પરિવાર માટે પણ ખૂબ મુશ્કેલીભર્યો હતો. એ સમયે મારા પરિવારજનોને પૈસાની તાતી જરૂરિયાત હતી. બધી જગ્યાએ તપાસ કરી પરંતુ કોરોનાની સ્થિતિ હોવાના કારણે બધા નાણાંની તંગી અનુભવી રહ્યા હતા. તેથી કોઈ સ્થળેથી પૈસાની જોગવાઈ ન થઈ શકી. અંતે મારે આખરી વિકલ્પ તરીકે મારા PF પેટે જમા થયેલ નાણાં ઉપાડીને ઘરે મોકલાવવાં પડ્યાં. એ સમય ખૂબ કપરો હતો."

ઇમેજ સ્રોત, Getty Images
એ સમયે અમદાવાદની ખાનગી કંપનીમાં નોકરી કરતા ગિરીશ (બદલેલ નામ) કોરોનાના લૉકડાઉન બાદ અનુભવેલી આર્થિક મંદીની સ્થિતિ યાદ કરતા ઉપરોક્ત વાત જણાવે છે.
ગિરીશે પોતાની કામદાર ભવિષ્ય નિધિમાંથી(EPF) કોવિડ ઍડ્વાન્સ પેટે 19,700 રૂપિયાનો ઉપાડ કર્યો હતો.
તેઓ આ અંગે વધુ વાત કરતાં કહે છે કે, "આ પહેલાં મેં ક્યારેય ભવિષ્ય નિધિનાં નાણાં ઉપાડ્યાં નહોતાં અને મને અંદાજ પણ નહોતો કે મારે ક્યારેય આવું કરવાની જરૂર પડશે."
"કારણ કે એ મધ્યમવર્ગીય લોકો માટે નાણાંની જરૂરિયાત સમયે અંતિમ વિકલ્પ હોય છે, જેનાં નાણાં તેઓ તાતી જરૂરિયાત ન હોય તે સિવાય ઉપાડવા નથી માગતાં. હું પણ એવી માનસિકતા ધરાવતો હતો."
ગિરીશની જેમ સમગ્ર ભારતમાં કરોડો લોકોને કોરોનાકાળમાં અનુભવાયેલી નાણાકીય ખેંચને કારણે પોતાના EPFમાંથી કોવિડ ઍડ્વાન્સ સ્વરૂપે નાણાં ઉપાડી લેવા માટે ફરજ પડી હતી.
નાણાકીય કટોકટીની સ્થિતિમાં આખરી વિકલ્પ મનાતા આ ભંડોળમાંથી સમગ્ર ભારતમાં પાછલાં બે વર્ષમાં લગભગ 1.4 કરોડ લોકોએ 31,882 કરોડ રૂપિયાનો ઉપાડ કરી લીધો હતો.

આ સમગ્ર રકમ કોવિડ ઍડ્વાન્સ સ્વરૂપે ઉપાડવામાં આવી હતી. બીબીસી ગુજરાતીના પ્રતિનિધિએ કરેલી એક માહિતી અધિકારની અરજીના જવાબમાં આ માહિતી પ્રાપ્ત થઈ હતી.
End of સૌથી વધારે વંચાયેલા સમાચાર
નોંધનીય છે કે ભારત સરકાર દ્વારા માર્ચ 2020ના અંતમાં કોરોનાની મહામારીને ધ્યાને રાખીને EPFOના સભ્યોને પોતાના ખાતામાંથી કોવિડ ઍડ્વાન્સ તરીકે મેળવવાની પરવાનગી અપાઈ હતી.
કુલ જમા રકમના 75 ટકા રકમ અથવા પોતાના ત્રણ મહિનાનાં મૂળ વેતન અને મોંઘવારી ભથ્થાની કુલ રકમ પૈકી જે ઓછી રકમ હોય તે કોવિડ ઍડ્વાન્સ તરીકે મેળવવાની છૂટ અપાઈ હતી.
ભારત સરકારે 24 માર્ચ, 2020ના રોજ કોરોના વાઇરસના પ્રસારને અટકાવવા માટે રાષ્ટ્રવ્યાપી લૉકડાઉનની જાહેરાત કરી હતી.
લૉકડાઉનમાં લદાયેલા પ્રતિબંધો તબક્કાવાર દૂર કરાયા હતા. જેના કારણે ઘણા લોકોને આર્થિક સંકડામણનો સામનો કરવો પડ્યો હતો. જેને પહોંચી વળવા સરકારે વિવિધ યોજનાઓ અને રાહતોની જાહેરાત કરી હતી. તે પૈકી જ એક યોજના EPFમાંથી ઉપાડ અંગેની પણ હતી.
આ રકમ ખાતેદારે પરત કરવાની નહોતી કે તેના પર કોઈ વ્યાજ ચૂકવવાની પણ જોગવાઈ નહોતી.
મોટા ભાગે નિવૃત્તિ કે આકસ્મિક જરૂરિયાત માટે સંગઠિત ક્ષેત્રના કામદારોના મૂળ પગારમાંથી કપાતી રકમનું ભંડોળ છે.
હાલમાં સમગ્ર ભારતમાં કામદાર ભવિષ્ય નિધિ સંગઠનમાં (EPFO) 24.77 કરોડ ખાતાં નોંધાયેલાં છે.
ઉપર જણાવ્યું તેમ આટલી મોટી સંખ્યામાં ખાતેદારોએ કોવિડ ઍડ્વાન્સ પેટે કરોડો રૂપિયા કોરોનાની મહામારી દરમિયાન ઉપડવા પડ્યાં, તે ભારતના અર્થતંત્રના કેવા પ્રકારના વલણ તરફ ઇશારો કરે છે?

ઇમેજ સ્રોત, EPFO
આ પ્રશ્ન અંગે ભારતીય અર્થતંત્ર અને કામદારોની સમસ્યાઓના જાણકાર કેટલાક નિષ્ણાતો સાથે બીબીસી ગુજરાતીએ વાત કરી સ્પષ્ટતા મેળવવાના પ્રયાસ કર્યા હતા.
આર્થિક બાબતોના નિષ્ણાતો પૈકી કેટલાકનું કહેવું હતું કે ભવિષ્યનિધિમાંથી આટલી મોટી રકમનું ઉપાડ થવો એ સરકાર દ્વારા મહામારી સમયે લોકોની સુખાકારી અને નાણાકીય સુરક્ષા સુનિશ્ચિત કરવા બાબતે અપૂરતા પ્રયત્નોનું સૂચન કરે છે.
બીજી બાજુ કેટલાકનું માનવું હતું કે આ પહેલ થકી લોકોને મુશ્કેલ સમયે પોતાનાં નાણાં ઉપલબ્ધ કરાવવા માટેની આ એક સરાહનીય પહેલ હતી.
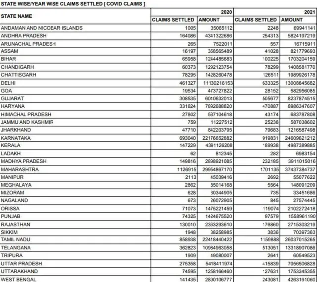
નોંધનીય છે કે ગુજરાતમાં કુલ 8,14,212 ખાતેદારોએ 2020 અને 2021 દરમિયાન કુલ 1,424,85,06,528 રૂપિયા કોવિડ ઍડ્વાન્સ પેટે ઉપાડવા પડ્યા હતા.

'વેતન ઘટાડો અને નોકરી ગુમાવવાના વલણ તરફ ઇશારો'

ઇમેજ સ્રોત, Getty Images
પશ્ચિમ બંગાળની જાધવપુર યુનિવર્સિટીનાં અર્થશાસ્ત્રનાં પ્રાધ્યાપક તન્મોયી બેનરજી જણાવે છે કે, "આટલી મોટી સંખ્યામાં લોકોએ ઉપાડ કર્યો એ સંકેત છે કે કોરોના મહામારીના સમયગાળામાં ઘણા લોકોએ વેતનઘટાડો અને નોકરી ગુમાવવાના કારણે આ ઉપાડ કરવાનો નિર્ણય લેવો પડ્યો હશે."
તેઓ કહે છે કે, "સામાન્ય રીતે ભારતમાં લોકો પોતાના ભવિષ્યનિધિના ભંડોળમાંથી અંતિમ વિકલ્પ સ્વરૂપે નાણાં ઉપાડતા હોય છે. પરંતુ કોરોના મહામારી દરમિયાન આટલી મોટી સંખ્યામાં લોકોએ ઉપાડ કર્યો એ એ વાતનું સૂચન છે કે લોકો આ રકમનું ઉપાડ પોતાની રોજિંદી જરૂરિયાતોને પહોંચી વળવા માટે કર્યું હોઈ શકે છે."
બેનરજી જણાવે છે કે ભારતમાં સંગઠિત ક્ષેત્રમાં કામ કરતાં લોકોને મહામારી દરમિયાન પડેલી મુશ્કેલીઓનોનુંમાપ કાઢવા માટે આપણી પાસે EPFOમાંથી કરેલ ઉપાડ, ખાનગી લૉન, ઇલાજ માટે લીધેલ લૉન જેવાં થોડાં જ માપદંડો ઉપલબ્ધ છે.
"તેથી આ અંગે સચોટ તાગ મેળવવો મુશ્કેલ બની જાય છે. આ કારણે અસલ આંકડા સરકાર દ્વારા પૂરા પડાયેલા આંકડા કરતાં ઘણા વધુ હોય તેવું બની શકે."
"કમનસીબે અસંગઠિત ક્ષેત્રના કામદારોની મુશ્કેલીઓ સમજવા માટે તો આપણી પાસે આંકડા મોજૂદ નથી. આમ માત્ર વિચાર જ કરી શકાય છે કે ખરેખર એ સમય દરમિયાન લોકોને કેવી અને કેટલી મુશ્કેલીઓનો સામનો કરવો પડ્યો હોઈ શકે."

કોરોના મહામારીમાં મિસમૅનેજમૅન્ટનું પરિણામ?

ઇમેજ સ્રોત, Getty Images
ઇન્ડિયન ઇન્સ્ટિટ્યૂટ ઑફ મૅનેજમૅન્ટ, અમદાવાદના અર્થશાસ્ત્રના પ્રાધ્યાપક સેબેશ્ચિયન મોરિસ આ અંગે વાત કરતાં જણાવે છે કે, "લોકોએ કોરોના મહામારી દરમિયાન માત્ર EPFOના ઉપાડ જ નહીં, પરંતુ સોનાના વેચાણ અને ખાનગી બચતનું ધોવાણ પણ અનુભવવું પડ્યું છે."
"જોકે સરકારની આ નીતિ થકી અર્થતંત્રમાં અપેક્ષિત ઘટાડાની તીવ્રતા ઘટાડી શકાઈ છે. તેમ છતાં લોકોએ નુકસાન તો વેઠવું જ પડ્યું છે."
તેઓ કહે છે કે, "માત્ર સંગઠિત ક્ષેત્રને જ નહીં પરંતુ અસંગઠિત ક્ષેત્રને પણ આ સમયગાળા દરમિયાન ઘણું વેઠવાનો વારો આવ્યો હતો. જેના કારણે અર્થતંત્રના સુધારાની ઝડપ પર નકારાત્મકઅસર પડી હતી."
અર્થશાસ્ત્રી ઇંદિરા હિરવે પણ આ EPFOમાંથી લોકોને ઉપાડ કરવો પડે એ સ્થિતિના નિર્માણ અંગે ચિંતા વ્યક્ત કરતાં કહે છે કે, "આવી પરિસ્થિતિ સરકાર કોરોનાના મુશ્કેલ સમયમાં લોકોનાં કલ્યાણ અને જીવનધોરણમાં ઘટાડો ન થાય તે માટે પૂરતા પ્રયત્નો ન કરી શકી હોવાની વાતને પ્રતિબિંબિત કરે છે."
"સાથે જ આ આંકડા સરકારની પૈસાદારને સમર્થન માટેની માનસિકતા અને લોકોના કલ્યાણ અંગે તેમના બેદરકાર વલણને દર્શાવે છે."
ઇંદિરા હિરવે જણાવે છે કે, "એક તરફ આ સમયગાળામાં લોકોની આવકમાં તોતિંગ ઘટાડો થતાં સમગ્ર અર્થતંત્રમાં ઘટાડો અનુભવાયો છે. તો બીજી તરફ ગણ્યાગાંઠ્યા લોકોની આવકમાં અભૂતપૂર્વ વધારો થયો છે."
તેઓ સમગ્ર મહામારી દરમિયાન સરકારે કરેલા પ્રયત્નોને અપૂરતા ગણાવે છે.
તેઓ કહે છે કે, "સમગ્ર મહામારીમાં મધ્યમવર્ગ અને ગરીબ વર્ગના લોકોને ખૂબ મુશ્કેલીઓનો સામનો કરવો પડ઼્યો. પરંતુ સરકાર તેના નિરાકરણ માટે જરૂરી પગલાં ભરવામાં ઊણી ઊતરી. સમગ્ર સંકટના સમયમાં મહામારીનું ખરાબ વ્યવસ્થાપન મૂળભૂત પ્રશ્ન હતો."
બીજી તરફ વડોદરાની મહારાજા સયાજીરાવ ગાયકવાડ યુનિવર્સિટીના અર્થશાસ્ત્ર વિભાગના વડા પ્રોફેસર અશીર મહેતા EPFOમાંથી નાણાં ઉપાડવા માટે સરકારે શરૂ કરેલી વ્યવસ્થાને યોગ્ય પગલું અને સરહાનીય પહેલ ગણાવે છે.
તેઓ કહે છે કે, "કોરોનામાં લોકોને ઘણી મુશ્કેલીઓ પડી. ખાસ કરીને નાણાકીયક્ષેત્રે ભારે અવ્યવસ્થા જેવી સ્થિતિ સર્જાઈ હતી."
"કેન્દ્ર સરકાર દ્વારા EPFOમાંથી જરૂરિયાત પ્રમાણેનાં નાણાં લોકો મેળવી શકે તે માટે કોવિડ ઍડ્વાન્સની વ્યવસ્થા શરૂ કરવાથી લોકોને નાણાકીય મુશ્કેલીઓના સમયે થોડી રાહત મળી હતી."
પ્રોફેસર મહેતા આગળ કહે છે કે, "લોકોને નાણાંની જરૂરિયાત હોય ત્યારે EPFમાં ભેગાં થયેલાં નાણાં મેળવીને તેનો ઉપયોગ કરી શકાય તે માટેની વ્યવસ્થા કરવી એ સરહાનીય પહેલ હતી."
"જેના કારણે લોકો પર ઋણનો બોજો પડવાની શક્યતા નિવારી શકાઈ છે. જોકે વ્યાજમાં અમુક અંશે નુકસાન ભોગવવું પડે, પરંતુ દેવાના વ્યાજના જાળમાં ફસાવાથી પણ લોકો બચી શક્યા."
નોંધનીય છે કે કોરોનાકાળમાં મોદી સરકાર દ્વારા નાણાકીય તંગી નિવારવાના હેતુસર ઘણી યોજનાઓ અમલમાં મુકાઈ હતી.
તેમાં હોમ લૉન અંગે ત્રણ માસ સુધી હપ્તાની ચૂકવણીમાંથી મુક્તિ. મફત રૅશનવિતરણ, શ્રમિક ટ્રેનની સુવિધા, આત્મનિર્ભર ભારત પૅકેજ-1 અને 2 અંતર્ગત અનેક છૂટછાટો અને રાહતો માટેની જોગવાઈ કરાઈ હતી.
નોંધનીય છે કે માર્ચ 2020માં સરકારે દેશવ્યાપી કડક લૉકડાઉનની જાહેરાત બાદ ખાતેદાર પોતાના ભવિષ્ય નિધિના ભંડોળમાંથી કોવિડ ઍડ્વાન્સપેટે બિનચૂકવણીપાત્ર રકમનો ઉપાડ કરી શકશે તેવી જોગવાઈ કરી હતી.
તેમજ વર્ષ 2021માં ફરી વાર આ વ્યવસ્થા ખુલ્લી મૂકવામાં આવી હતી.
જો આંકડા પર નજર કરીએ તો વર્ષ 2020માં આ વ્યવસ્થા અંતર્ગત 56,99,222 ખાતેદારોએ 14,353,46,15,302 રૂપિયાનો ઉપાડ કર્યો હતો. આ આંકડામાં વર્ષ 2021માં ભારે વધારો નોંધાયો.
વર્ષ 2021માં 83,02,004 ખાતેદારોએ આ યોજનાનો લાભ લઈને 17,529,08,22,141 રૂપિયાનો ઉપાડ કર્યો હતો.
EPFOમાંથી પોતાના ભંડોળમાં ક્લેઇમ કરીને સંપૂર્ણ નાણાં ઉપાડવાની બાબત પર ધ્યાન કેન્દ્રિત કરવામાં આવે તો વર્ષ 2020માં 54,10,901 ખાતેદારોએ 38,408,79,56,590 રૂપિયાનો ઉપાડ થયો છે.
જેમાં વર્ષ 2021માં વધારો થયો હતો. વર્ષ 2021માં 56,59,397 ખાતેદારોએ 41,792,07,86,407 રૂપિયાનો ઉપાડ થયો હતો.
સામાન્યપણે નિવૃત્તિ સમયે અને બે મહિના સુધી બેરોજગાર રહેવાના કારણોસર આ ભંડોળ પૂરેપરું ઉપાડી શકાય છે.

આ લેખમાં Google YouTube દ્વારા પૂરું પાડવામાં આવેલું કન્ટેન્ટ છે. કંઈ પણ લોડ થાય તે પહેલાં અમે તમારી મંજૂરી માટે પૂછીએ છીએ કારણ કે તેઓ કૂકીઝ અને અન્ય તકનીકોનો ઉપયોગ કરી શકે છે. તમે સ્વીકારતા પહેલાં Google YouTube કૂકીઝ નીતિ અને ગોપનીયતાની નીતિ વાંચી શકો છો. આ સામગ્રી જોવા માટે 'સ્વીકારો અને ચાલુ રાખો'ના વિકલ્પને પસંદ કરો.
YouTube કન્ટેન્ટ પૂર્ણ
તમે અમને ફેસબુક, ઇન્સ્ટાગ્રામ, યૂટ્યૂબ અને ટ્વિટર પર ફોલો કરી શકો છો
























