సుంకాలు విధించడానికి డోనల్డ్ ట్రంప్ వాడిన మ్యాథ్స్ ఫార్ములా ఇదే

ఫొటో సోర్స్, EPA
- రచయిత, బెన్ చు, టామ్ ఎడ్జింగ్టన్
- హోదా, బీబీసీ వెరిఫై
- చదివే సమయం: 4 నిమిషాలు
విదేశాల నుంచి అమెరికాకు దిగుమతయ్యే వస్తువులపై ఆ దేశ అధ్యక్షుడు డోనల్డ్ ట్రంప్ కనీసం 10 శాతం సుంకం విధించారు.
కొన్ని దేశాలను 'వరస్ట్ అపెండర్స్' అంటూ ఇంకా ఎక్కువ శాతం టారిఫ్లు విధించారు.
అయితే, దిగుమతులపై విధించిన ఈ సుంకాలు ఎంతవరకు పనిచేస్తాయి?
ఈ సంఖ్యల వెనుక ఉన్న లెక్కలేంటి? వీటన్నింటిని బీబీసీ వెరిఫై పరిశీలించింది.


ఫొటో సోర్స్, White House
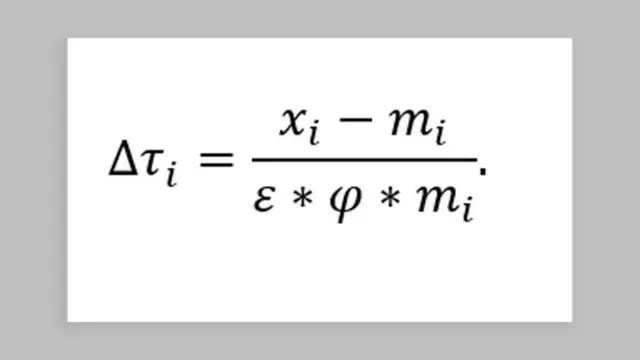
సంక్లిష్టమైన సూత్రం, సరళమైన లెక్కింపు
ట్రంప్ వైట్హౌస్ రోజ్ గార్డెన్లో మాట్లాడుతూ సుంకాలను ప్రకటించినప్పుడు పెద్ద చార్ట్ను చూపించారు. అప్పుడు పాత సుంకాలు, ఇతర వాణిజ్య నియమాల ఆధారంగా కొత్త సుంకాలు ఉన్నాయని ప్రజలు భావించారు.
వివిధ మ్యాథ్స్ సింబల్స్తో కనిపిస్తున్న ఈ సూత్రానికి సరళమైన లెక్కను నిపుణులు చెప్తున్నారు.
దాని ప్రకారం.. ఏదైనా దేశంతో అమెరికాకు ఉన్న వాణిజ్య లోటును తొలుత లెక్కించాలి.
ఈ వాణిజ్య లోటును ఆ దేశం నుంచి అమెరికా దిగుమతి చేసుకునే వస్తువుల మొత్తం విలువతో భాగించాలి.
ఆ వచ్చిన సంఖ్యను రెండుతో భాగించాలి. అలా వచ్చిన ఫలితమే ట్రంప్ ఇప్పుడు విధించిన సుంకం.
అయితే, కొన్ని దేశాలకు ఈ ఫార్ములా ఉపయోగించలేదని వైట్హౌస్ తెలిపింది.
ఇదీ లెక్క
ఒక దేశం విదేశాలకు ఎగుమతి చేసే భౌతిక ఉత్పత్తుల కంటే ఎక్కువ మొత్తంలో వస్తువులు దిగుమతి చేసుకున్నప్పుడు వాణిజ్య లోటు ఏర్పడుతుంది.
చైనా, అమెరికాల మధ్య వాణిజ్యానికి సంబంధించిన లెక్కలను ఉదాహరణగా తీసుకుంటే... చైనాకు అమెరికా నుంచి ఎగుమతయ్యే వస్తువుల కంటే.. చైనా నుంచి అమెరికాకు దిగుమతయ్యే వస్తువుల విలువ ఎక్కువ.
చైనాతో అమెరికాకు ఈ వాణిజ్య లోటు 295 బిలియన్ డాలర్లు (సుమారు రూ. 25 లక్షల కోట్లు) .
చైనా నుంచి అమెరికా కొనుగోలు చేసే వస్తువుల మొత్తం విలువ 440 బిలియన్ డాలర్లు (సుమారు రూ. 37.6 లక్షల కోట్లు).
చైనా నుంచి అమెరికా కొనుగోలు చేసే మొత్తం విలువలో ఈ వాణిజ్య లోటు ఎంత శాతం అనేది లెక్కించారు.
గణితం ప్రకారం... 295ను 440తో భాగించి, అలా వచ్చిన విలువను 100తో గుణిస్తే శాతం వస్తుంది.
అలా లెక్కించినప్పుడు 67 శాతంగా తేలింది.
ఈ 67 శాతాన్ని రెండుతో భాగిస్తే వచ్చే ఫలితాన్ని సమీప సంఖ్యకు సవరించి దాన్ని చైనాపై విధించే సుంకంగా నిర్ణయించారు.
అంటే 67ను 2తో భాగించినప్పుడు 33.5 వస్తుంది. దాన్ని 34 శాతానికి సవరించి చైనాపై టారిఫ్గా నిర్ణయించారు.
ఇదే సూత్రం వర్తింపజేసి యూరోపియన్ యూనియన్కు 20 శాతంగా, భారత్కు 26 శాతంగా టారిఫ్లు నిర్ణయించారు.

ఫొటో సోర్స్, US treasury
కొన్ని దేశాలకు మరోలా..
ఈ టారిఫ్స్ రెసిప్రోకల్ కాదని చాలామంది నిపుణులు అంటున్నారు.
రెసిప్రోకల్ టారిఫ్స్ అంటే అమెరికన్ వస్తువులపై ఇతర దేశాలు వసూలు చేసే అదే మొత్తాన్ని యూఎస్ దాని దిగుమతులపై వసూలు చేయడం. అంతేకాకుండా అమ్మకాలను కష్టతరం చేసే అదనపు నియమాలను కూడా విధించడం.
కానీ సుంకాలు విధించిన అన్ని దేశాలకు ఈ పద్ధతిని ఉపయోగించలేదని వైట్హౌస్ అధికారిక పత్రాలు స్పష్టంచేస్తున్నాయి.
కొన్ని దేశాలతో వాణిజ్య లోటును ఎంత తగ్గించాలనుకుంటున్నారో దాని ఆధారంగా సుంకాలను వేసింది అమెరికా.
వాణిజ్య లోటు లేని దేశాలపై కూడా ట్రంప్ సుంకాలు విధించారు.
ఉదాహరణకు, యూకేకు అమెరికాతో వాణిజ్య లోటు లేదు, కానీ అది ఇప్పటికీ 10 శాతం సుంకాన్ని ఎదుర్కొంటోంది.
మొత్తంగా 100 కంటే ఎక్కువ దేశాలు ఈ కొత్త సుంకాల వల్ల ప్రభావితమయ్యాయి.

ఫొటో సోర్స్, Reuters
విస్తృత ప్రభావాలు
ప్రపంచ వాణిజ్యంలో అమెరికాకు 'బ్యాడ్ డీల్' జరుగుతోందని ట్రంప్ భావిస్తున్నారు. ఇతర దేశాలు అమెరికాకు చౌకైన వస్తువులను పంపుతున్నాయని, ఇది అమెరికన్ కంపెనీలను దెబ్బతీస్తోందని, ఉద్యోగాల నష్టాలకు దారితీస్తోందని ఆయన నమ్ముతున్నారు.
అదే సమయంలో యుఎస్ ఉత్పత్తులు ఆయా దేశాలు వారి మార్కెట్లలో పోటీ పడకుండా కొన్ని నిబంధనలు పెట్టాయని ట్రంప్ భావన.
కాబట్టి ఈ వాణిజ్య లోటును తొలగించడానికి సుంకాలను వేసి, దాని ద్వారా అమెరికాలో తయారీని పునరుద్ధరించాలని, ఉద్యోగాలను రక్షించాలని ట్రంప్ ఆశిస్తున్నారు.
కానీ, ఈ కొత్త టారిఫ్ విధానం ఆశించిన ఫలితాన్ని సాధిస్తుందా?
ఏ దేశాలపై ఎంత శాతం టారిఫ్

కొత్త సుంకాలు అమెరికా, నిర్దిష్ట దేశాల మధ్య వాణిజ్య లోటును తగ్గించవచ్చని చాలామంది ఆర్థికవేత్తలు విశ్వసిస్తున్నారు.
అయితే, అవి అమెరికా, మిగిలిన ప్రపంచం మధ్య మొత్తం వాణిజ్య లోటును పరిష్కరించవని చెప్పారు.
"అవును, ఇది యూఎస్, ఇతర దేశాల మధ్య ద్వైపాక్షిక వాణిజ్య లోటులను తగ్గిస్తుంది. కానీ లెక్కల్లో చూపని అనేక ఇతర ప్రభావాలు ఉంటాయి" అని లండన్లోని కింగ్స్ కాలేజీకి చెందిన ప్రొఫెసర్ జోనాథన్ పోర్టెస్ అన్నారు.
ఎందుకంటే యూఎస్ మొత్తం వాణిజ్య లోటు అనేది కేవలం సుంకాలతో మాత్రమే కాదు, యుఎస్ ఆర్థిక వ్యవస్థ ఎలా పనిచేస్తుందనే విషయంపై కూడా ప్రభావితమవుతుంది.
అమెరికన్లు తరచుగా తాము సంపాదించిన దానికంటే ఎక్కువ ఖర్చు చేస్తారు, పెట్టుబడి పెడతారు. దీనర్థం అమెరికా విక్రయించే దానికంటే ఇతర దేశాల నుంచి ఎక్కువ వస్తువులను కొనుగోలు చేస్తుంది. ఇది కొనసాగినంత కాలం.. అధిక సుంకాలు ఉన్నప్పటికీ, అమెరికా వాణిజ్య లోటులోనే ఉండవచ్చు.
కొన్ని వాణిజ్య లోటులు సాధారణం.. సుంకాల వల్ల సంభవించవు. ఉదాహరణకు, ఇతర దేశాల వాతావరణ పరిస్థితుల ఆధారంగా చౌకగా ఉత్పత్తి అయిన ఆహారాన్ని కొనుగోలు చేయడం.
"అమెరికాకు వాణిజ్య లోటు ఉన్న దేశాలపై సుంకాలు విధించడాన్ని సమర్థించడానికి ఈ ఫార్ములా రూపొందించారు. ఇలా చేయడానికి నిజమైన ఆర్థిక కారణం లేదు, ఇది ప్రపంచ ఆర్థిక వ్యవస్థను దెబ్బతీస్తుంది" అని లండన్ స్కూల్ ఆఫ్ ఎకనామిక్స్కు చెందిన థామస్ సాంప్సన్ అన్నారు.
(బీబీసీ కోసం కలెక్టివ్ న్యూస్రూమ్ ప్రచురణ)
(బీబీసీ తెలుగును వాట్సాప్,ఫేస్బుక్, ఇన్స్టాగ్రామ్, ట్విటర్లో ఫాలో అవ్వండి. యూట్యూబ్లో సబ్స్క్రైబ్ చేయండి.)














