सत्यपाल मलिक से सीबीआई जो पूछताछ करने वाली है, उस मामले को जानिए

इमेज स्रोत, Satyapal Malik
- Author, अभिनव गोयल
- पदनाम, बीबीसी संवाददाता
केंद्रीय जाँच एजेंसी सीबीआई ने जम्मू-कश्मीर के पूर्व राज्यपाल सत्यपाल मलिक को शुक्रवार को नोटिस दिया था.
ये नोटिस उन्हें जम्मू-कश्मीर में हुए कथित रिलायंस इंश्योरेंस घोटाला मामले में कुछ सवालों के जवाब जानने के लिए दिया गया. हालांकि इस कथित घोटाले को खुद सत्यपाल मलिक ही सामने लाए थे.
ये दूसरी बार है, जब सीबीआई ने उन्हें पूछताछ के लिए बुलाया है. इससे पहले उन्हें अक्टूबर 2022 में बुलाया गया था.
दरअसल, सीबीआई ने जम्मू-कश्मीर में सरकारी कर्मचारियों के लिए एक ग्रुप मेडिकल इंश्योरेंस और सिविल कामकाज़ के कॉन्ट्रैक्ट को लेकर दो एफ़आईआर दर्ज की हैं.
ये कथित भ्रष्टाचार के वो मामले हैं, जिन्हें सत्यपाल मलिक कई बार दोहरा चुके हैं.
कुछ दिन पहले न्यूज वेबसाइट 'द वायर' के लिए वरिष्ठ पत्रकार करण थापर को दिए इंटरव्यू में भी उन्होंने इसका ज़िक्र किया था.
इन मामलों के ज़रिए उन्होंने सीधा प्रधानमंत्री नरेंद्र मोदी पर हमला बोला और कहा था, "मैं कह सकता हूँ कि प्रधानमंत्री जी को भ्रष्टाचार से बहुत नफ़रत नहीं है."
सत्यपाल मलिक ने इंटरव्यू में कहा कि जब वह जम्मू-कश्मीर के राज्यपाल थे तो उनके पास दो फाइलें आई थीं, उन्हें पास करने की एवज में 300 करोड़ रुपये ऑफर हुए थे, लेकिन उन्होंने दोनों योजनाओं को राज्यपाल रहते हुए निरस्त कर दिया.
उनके मुताबिक़ एक फाइल, जम्मू-कश्मीर में सरकारी कर्मचारियों को रिलायंस जनरल इंश्योरेंस दिए जाने और दूसरी किरू हाइडल पावर प्रोजेक्ट से जुड़े काम की थी.
सत्यपाल मलिक ने आरोप लगाया कि प्रधानमंत्री के क़रीबी लोग उनसे ये दो फाइलें पास करवाना चाहते थे.

इमेज स्रोत, Getty Images
रिलायंस इंश्योरेंस का पूरा मामला क्या है?
जम्मू-कश्मीर के वित्त विभाग की रिपोर्ट को बीबीसी ने देखा है. यह रिपोर्ट वित्त विभाग ने सीबीआई को भी भेजी है.
जम्मू-कश्मीर सरकार ने राज्य के कर्मचारियों के लिए इंश्योरेंस का कॉन्ट्रैक्ट 'आईसीआईसीआई लोम्बार्ड' के साथ किया हुआ था.
30 मार्च 2017 को इंश्योरेंस का यह कॉन्ट्रैक्ट ख़त्म होने के बाद जम्मू-कश्मीर के वित्त विभाग ने एक मेडिकल इंश्योरेंस स्कीम लागू करने की प्रक्रिया शुरू की.
8 फ़रवरी 2017 को नोटिस जारी कर बीमा कंपनियों से कॉन्ट्रैक्ट के लिए आवेदन मांगे गए.
इस प्रक्रिया को बीच में ही रद्द कर दिया गया. इसकी जगह अब टेंडर प्रक्रिया और शिकायतों से निपटने में मदद के मक़सद से एक सलाहकार या कहें कि मध्यस्थ को नियुक्त करने का फ़ैसला लिया गया.
मध्यस्थ कौन होगा, इसके लिए जम्मू-कश्मीर के वित्त विभाग ने इंश्योरेंस रेगुलेटरी एंड डिवेलपमेंट अथॉरिटी के साथ पंजीकृत मध्यस्थों के लिए टेंडर निकाला.
इस टेंडर में ट्रिनिटी रिइंश्योरेंस ब्रोकर प्राइवेट लिमिटेड, लाइफ एंड जनरल रिइंश्योरेंस ब्रोकर, इंडिया इंश्योर रिस्क मैनेजमेंट, आलमंड इंश्योरेंस ब्रोकर लिमिटेड ने हिस्सा लिया.
ये टेंडर ट्रिनिटी ग्रुप को दिया गया. जम्मू-कश्मीर सरकार और ट्रिनिटी के बीच 27 नवंबर 2017 को एक समझौते पर हस्ताक्षर हुए.

16 फ़रवरी 2018 को वित्त विभाग की जगह मध्यस्थ कंपनी यानी ट्रिनिटी रिइंश्योरेंस ब्रोकर प्राइवेट लिमिटेड ने टेंडर के लिए आवेदन मंगवाए. इसमें सिर्फ़ एक ही कंपनी ने आवेदन भेजा. टेंडर में ज़्यादा कंपनियों के हिस्सा न लेने पर इस टेंडर को नहीं खोला गया.
एक जून 2018 को शर्तों में ढील देकर फिर से इंश्योरेंस के लिए टेंडर निकाला गया, जिसमें सात कंपनियों ने आवेदन दिया.
चार जुलाई 2018 को टेंडर के लिए बोली लगी, जिसमें सात कंपनियों ने हिस्सा लिया. इसमें से न्यू इंडिया इंश्योरेंस और ओरिएंटल इंश्योरेंस कंपनी को अयोग्य पाया गया.
रिलायंस ने कर्मचारियों को इंश्योरेंस के लिए सालाना आठ हजार 777 रुपये और पेंशन भोगियों को 22 हजार 229 रुपये प्रीमियम की बोली लगाकर कॉन्ट्रैक्ट हासिल किया.
पॉलिसी में हर कर्मचारी या पेंशन भोगी को उसके या उसके परिवार के पांच आश्रित सदस्यों के साथ सालाना छह लाख रुपये तक का स्वास्थ्य बीमा कवरेज दिया गया था. इस योजना में जम्मू-कश्मीर के क़रीब 3.5 लाख सरकारी कर्मचारी कवर होने थे.

छह जुलाई 2018 को रिलायंस जनरल इंश्योरेंस कंपनी को लेटर ऑफ अवॉर्ड जारी करने की सिफ़ारिश की गई.
31 अगस्त 2018 को जम्मू-कश्मीर की स्टेट ऐडमिनिस्ट्रेटिव काउंसिल के सामने इस प्रस्ताव को रखा गया.
20 सितंबर 2018 को राज्य सरकार ने इंश्योरेंस पॉलिसी को अधिसूचित किया.
28 सितंबर 2018 को रिलायंस जनरल कंपनी के पक्ष में सरकार ने 61 करोड़ 43 लाख 78 हजार 800 रुपये जारी किए और एक दिन बाद यह पैसा कंपनी के खाते में चला गया.
एक अक्टूबर 2018 से जम्मू-कश्मीर में रिलायंस का ग्रुप मेडिकल इंश्योरेंस योजना शुरू कर दी.
15 अक्टूबर 2018 को ग्रुप मेडिक्लेम इंश्योरेंस पॉलिसी को लागू करवाने के लिए जम्मू-कश्मीर के वित्त विभाग, ट्रिनिटी रिइंश्योरेंस ब्रोकर्स प्रा. लिमिटेड और रिलायंस जनरल इंश्योरेंस के बीच समझौता हुआ.
30 नवंबर 2018 को इंश्योरेंस कॉन्ट्रैक्ट ख़त्म करने का नोटिस रिलायंस जनरल इंश्योरेंस कंपनी को दिया गया और कहा गया ये आदेश 31 दिसंबर 2018 से लागू होगा.

रिपोर्ट में उठे सवाल
- ई-टेंडरिंग प्रक्रिया का पालन नहीं किया गया
- पहले टेंडर के समय कंपनियों के सामने नहीं आने पर दूसरी बार जब टेंडर निकाला गया तो नियमों में ढील दी गई
- मध्यस्थ ट्रिनिटी रिइंश्योरेंस ब्रोकर्स प्रा. लिमिटेड के साथ समझौता पर हस्ताक्षर करने बाद एग्रीमेंट में बदलाव किए गए
- रिलायंस के साथ समझौते करने से पहले ही 28 सितंबर 2018 को प्रीमियम की पहली किस्त जारी की गई

इमेज स्रोत, Getty Images
पास करने का दबाव- सत्यपाल मलिक
सत्यपाल मलिक ने वायर को दिए इंटरव्यू में बताया कि जब राज्यपाल की शपथ लेने के अगले ही दिन रिलायंस इंश्योरेंस की फाइल उनके एजेंडे पर आ गई थी और सभी चाहते थे कि ये पास हो जाए और वह पास भी हो गई.
उन्होंने कहा कि रिलायंस इंश्योरेंस के साथ कॉन्ट्रैक्ट ख़त्म करने के अगले ही दिन बीजेपी नेता राम माधव उनसे सुबह सात बजे राजभवन मिलने आए और वह इस बात से नाराज़ थे कि मैंने ये कॉन्ट्रैक्ट क्यों कैंसल कर दिया. वह चाहते थे कि मैं इस स्कीम को पास कर दूं.
सत्यपाल मलिक ने कहा, "ये चर्चा थी कि इन दोनों डील में 150-150 करोड़ रुपये शामिल हैं…अगर मैं पास कर देता तो ये पैसा तीसरे दिन मुझे मिल जाता."

सीबीआई से जांच की मांग
23 मार्च 2022 को जम्मू-कश्मीर के डिप्टी सेक्रेटरी डॉ. मोहम्मद उस्मान खान ने सीबीआई को जांच करने के लिए पत्र लिखा.
पत्र में उन्होंने लिखा, "रिलायंस जनरल इंश्योरेंस कॉरपोरेशन लिमिटेड को जम्मू-कश्मीर में सरकारी कर्मचारी स्वास्थ्य देखभाल बीमा योजना का ठेका देने और एक निजी फर्म को किरू हाइड्रोइलेक्ट्रिक पावर प्रोजेक्ट के सिविल कार्यों के संबंध में ठेका देने में अनियमितता के आरोप लगे थे."
"इन मामलों में वित्त विभाग, बिजली विकास विभाग और भ्रष्टाचार निरोधक ब्यूरो से रिपोर्ट मांगी गई थी. इन रिपोर्टों पर विचार करने के बाद इन मामलों को जांच के लिए सीबीआई को भेजने का फैसला लिया है. सीबीआई से इन मामलों की जांच करने का अनुरोध किया जाता है."

सीबीआई ने दर्ज की एफ़आईआर
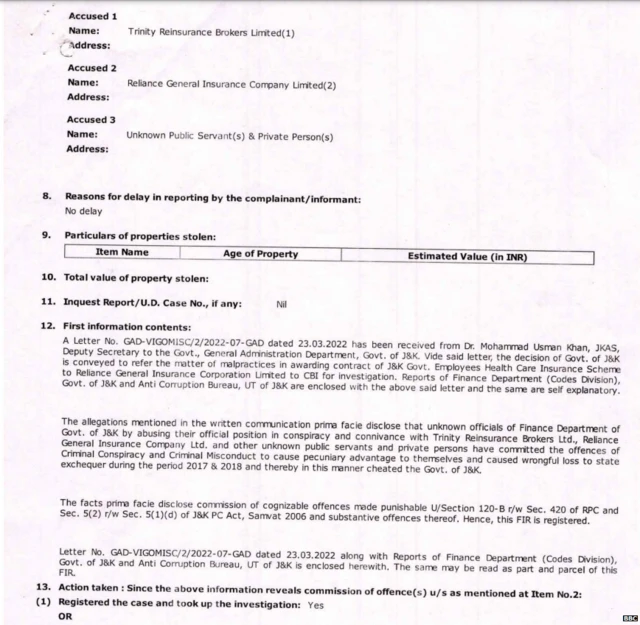
सीबीआई ने 19 अप्रैल को जम्मू-कश्मीर के डिप्टी सेक्रेटरी डॉ. मोहम्मद उस्मान खान की शिकायत पर रिलायंस इंश्योरेंस को ठेका देने के मामले में एफ़आईआर दर्ज की.
एफ़आईआर में सीबीआई ने पहला अभियुक्त ट्रिनिटी रिइंश्योरेंस ब्रोकर्स लिमिटेड, दूसरा अभियुक्त रिलायंस जनरल इंश्योरेंस कंपनी लिमिटेड और तीसरा अभियुक्त अज्ञात पब्लिक सर्वेंट और निजी व्यक्ति को बनाया है.
दर्ज एफआईआर में कहा गया है, "जो आरोप पत्र में लगाए गए हैं, उससे प्रथम दृष्या यह लगता है कि जम्मू-कश्मीर के वित्त विभाग के अज्ञात अधिकारियों ने अपने पद का ग़लत इस्तेमाल किया है."
"उन्होंने ट्रिनिटी रिइंश्योरेंस ब्रोकर्स लिमिटेड, रिलायंस जनरल इंश्योरेंस और दूसरे सरकारी लोगों के साथ मिलकर, ख़ुद को फ़ायदा पहुंचाने के लिए क्रिमिनल कॉन्सपिरेसी की है. ऐसा करने से 2017 से 2018 के बीच राज्य के ख़ज़ाने को नुक़सान पहुंचा है."

किरू हाइडल पावर प्रोजेक्ट मामले में एफआईआर
एक दिन बाद यानी 20 अप्रैल 2022 को सीबीआई ने एक निजी फर्म को किरू हाइडल पावर प्रोजेक्ट के सिविल कार्यों के संबंध में ठेका देने में अनियमितता के आरोप में एफ़आईआर दर्ज की.
इस मामले में सीबीआई ने चिनाब वैली पावर प्रोजेक्ट प्राइवेट लिमिटेड के उस वक्त चेयरमैन रहे आईएएस नवीन कुमार, एमडी एमएस बाबू, डायरेक्टर एम के मित्तल, डायरेक्टर अरुण कुमार मिश्रा, पटेल इंजीनियरिंग लिमिटेड के ख़िलाफ़ एफआईआर दर्ज की.
एफ़आईआर में कहा गया है कि किरू हाइडल पावर प्रोजेक्ट के सिविल कार्यों को देने में ई-टेंडर के नियमों का पालन नहीं किया गया और यह काम पटेल इंजीनियरिंग लिमिटेड को गलत तरीके से दिया गया.
पटेल इंजीनियरिंग लिमिटेड को 2240.27 करोड़ रुपये का काम दिया गया था.

कौन हैं सत्यपाल मलिक
सत्यपाल मलिक ख़ुद को लोहियावादी बताते हैं. लोहिया के समाजवाद से प्रभावित होकर उन्होंने छात्र नेता के रूप में मेरठ कॉलेज छात्रसंघ से शुरुआत की.
उनका जन्म उत्तर प्रदेश में बागपत के हिसावदा गांव में 24 जुलाई 1946 को हुआ. वे बताते हैं कि दो साल की उम्र में ही उनके पिता का निधन हो गया था.
वरिष्ठ पत्रकार हेमंत अत्री बताते हैं कि सत्यपाल मलिक को राजनीति में लाने का काम चौधरी चरण सिंह ने किया. 1974 में चौधरी चरण सिंह के भारतीय क्रांति दल की टिकट पर बागपत विधानसभा का चुनाव लड़ा और महज़ 28 साल की उम्र में विधानसभा पहुंच गए.
1980 में लोकदल पार्टी से राज्यसभा पहुंचे, लेकिन चार साल बाद ही उन्होंने उस कांग्रेस का दामन थाम लिया जिसके शासनकाल में लगी इमरजेंसी का विरोध करने पर वो जेल गए थे.
1987 में राजीव गांधी पर बोफ़ोर्स घोटाले का आरोप लगा, जिसके ख़िलाफ़ वीपी सिंह ने मोर्चा खोल दिया और इसमें सत्यपाल मलिक ने उनका साथ दिया. कांग्रेस छोड़ सत्यपाल मलिक ने जन मोर्चा पार्टी बनाई जो साल 1988 में जनता दल में मिल गई.
1989 में देश में आम चुनाव हुए. सत्यपाल मलिक ने यूपी की अलीगढ़ सीट से चुनाव लड़ा और पहली बार लोकसभा पहुंचे.
1996 में उन्होंने समाजवादी पार्टी ज्वाइन की और अलीगढ़ से चुनाव लड़ा.
वरिष्ठ पत्रकार हेमंत अत्री कहते हैं, "जाट नेता के तौर पर अलीगढ़ में उनकी बुरी हार हुई. वे चौथे नंबर पर रहे. उन्हें क़रीब 40 हज़ार वोट पड़े, जबकि जीतने वाले उम्मीदवार को क़रीब दो लाख तीस हज़ार वोट पड़े थे. इस चुनाव ने यह बताया कि अब वे बड़े जाट नेता नहीं रहे हैं."

क़रीब तीस साल सत्यपाल मलिक मौटे तौर पर समाजवादी विचारधारा से जुड़े रहे, लेकिन 2004 में वे बीजेपी में शामिल हुए और पार्टी की टिकट पर चौधरी चरण सिंह के बेटे अजीत सिंह के ख़िलाफ़ बागपत से चुनाव लड़े.
यह चुनाव भी उनकी जाट नेता की अस्मिता के लिए एक परीक्षा की तरह था, लेकिन इसमें वे फ़ेल साबित हुए. अजीत सिंह को क़रीब तीन लाख पचास हजार वोट पड़े तो तीसरे नबंर पर रहे सत्यपाल मलिक को क़रीब एक लाख वोट मिले.
2005-2006 में उन्हें उत्तर प्रदेश बीजेपी का उपाध्यक्ष, 2009 में भारतीय जनता पार्टी के किसान मोर्चा का ऑल इंडिया इंचार्ज बनाया गया.
हेमंत अत्री कहते हैं, "बीजेपी ने हार के बावजूद सत्यपाल मलिक को अपने साथ रखा. 2012 में उन्हें बीजेपी का राष्ट्रीय उपाध्यक्ष बनाया गया. ये वो दौर था जब बीजेपी उत्तर प्रदेश में अपनी ज़मीन तलाश रही थी और उसे एक जाट लीडर की तलाश थी."
"उसी समय सत्यपाल मलिक का नरेंद्र मोदी के साथ व्यक्तिगत संवाद हुआ और संबंध बना."
2014 में बहुमत के साथ नरेंद्र मोदी प्रधानमंत्री बनकर आए और 30 सितंबर 2017 को उन्हें बिहार का राज्यपाल बनाया गया.
क़रीब 11 महीने बिहार का राज्यपाल रहने के बाद अगस्त 2018 में उन्हें जम्मू-कश्मीर का राज्यपाल नियुक्त किया गया.
(बीबीसी हिन्दी के एंड्रॉएड ऐप के लिए आप यहां क्लिक कर सकते हैं. आप हमें फ़ेसबुक,ट्विटर,इंस्टाग्रामऔर यूट्यूब पर फ़ॉलो भी कर सकते हैं.)














