Key points about vectors

A vectorA vector quantity has both direction and magnitude (size). is a mathematical object that has both magnitudeSize and a directionThe orientation or angle that a vector is pointing in..
If a car is travelling 30 miles per hour due south, then its velocity has been described with both a magnitude (30 mph) and a direction (south).
Vectors can be represented using either diagrams, column vectors or variables and can be combined and simplified into a resultantThe combination of two or more vectors. vector.
Make sure you are familiar with transforming shapes using translation vectors, as this can help when representing vectors.
Video – Using vector notation
Watch this video to explore vector notation, describing vectors in terms of their start and end points, as bold letters, or representing them as a column vector.
The video also explains how to multiply vectors by scalar numbers, as well as how to add them.
Tom: Let's explore vector notation.
Vectors can be represented in many different ways.
They can be described in terms of their end points, so OA if the arrow points from O to A or AO if you reverse the arrow, or they can be described by a bold letter, for example, a, or numerically using column vectors.
A column vector describes how to get from one point to another, moving in the direction of the arrow, with the 𝑥 component describing horizontal movement, left or right, and the 𝑦 component describing vertical movement, up or down.
Positive numbers mean movement right or up, and negative numbers mean movement left or down.
So, for vector a, move 5 squares to the left in the negative 𝑥 direction and 3 squares down in the negative 𝑦 direction, giving –5 –3 as the column vector.
What happens if you multiply a vector by a scalar value, for example, 2?
Scalar values have magnitude or size, but not direction, unlike vectors which have both magnitude and direction.
2a means following the vector a twice.
So, instead of going 5 left and 3 down, you go 10 left and 6 down.
As a column vector that's –10 –6
Notice that the values in the column vector of 2a are two lots of the values in the column vector of a.
In fact, to multiply any vector by any scalar, you simply multiply both components by the scalar.
What about if you multiply a vector by –1?
Pause the video and have a go.
–1 times –5 equals 5 and –1 times –3 equals 3
So, negative A equals 5 3
This is the same as vector a but in the reverse direction.
So, multiplying a vector by –1 reverses its direction.
You can also add vectors together.
Let's bring in another vector, b, which is 4 –6 as a column vector.
Draw the vectors a and b end to end.
Then, a add b means to follow the vector a and then the vector b.
You can draw this as a third vector from the start of a to the end of b.
That's 1 left and 9 down.
So, the column vector is –1 –9
Notice that the column vector of a and b is found by adding the top numbers of a and b together, –5 add 4 equals –1, and then adding the bottom numbers together, –3 add –6 equals –9
Let's recap.
You can describe vectors in terms of their start and end points, as a bold letter, or represent it as a column vector.
Vectors can be multiplied by scalar numbers or added together.
What is a vector?

A vector describes the movement from one point to another.
Vectors are also used to describe a translation.
A vector can be represented by a line segment labelled with an arrow.
A vector quantity has both direction and magnitudeSize.
A scalar quantity has only magnitude.

Find out more about vectors below
GCSE exam-style questions
- What column vector is represented by 𝑥 in the diagram?


Use the direction of the arrow to determine the starting point. This vector starts in the bottom right.
The horizontal displacement is 4 squares to the left, so the top value in the column vector is –4.
The vertical displacement is 6 squares up, so the bottom value in the column vector is 6.
- The column vector for \(\overrightarrow{AB}\) is shown in the image.
What is the column vector for \(\overrightarrow{BA}\) ?


The values in column vector \(\overrightarrow{AB}\) mean the displacement from \({A}\) to \({B}\) is 7 squares to the right and 5 squares down.
The displacement from \({B}\) to \({A}\) is the opposite of this, 7 squares to the left and 5 squares up.
Alternatively, the column vector \(\overrightarrow{BA}\) is the negative of \(\overrightarrow{AB}\).
The numbers in the column vector are the same, but the signs are different. The 7 is replace by –7, and the –5 is replaced by 5.
Check your understanding
How to calculate with vectors
It is possible to perform calculations (+, –, ×) with vectors.
The resultant vector can be expressed using a diagram.
To perform calculations, apply the operation to each component of the vector. For example, to add two vectors, add both the top values and the bottom values.
Find out more about vector calculations below
GCSE exam-style questions
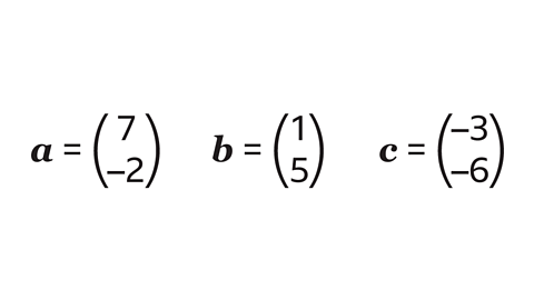
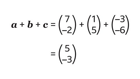
- Work out 𝑎 + 𝑏 + 𝑐.


The resultant is found by adding the components in vector 𝑎, 𝑏 and 𝑐.
7 + 1 + (–3) = 5 and –2 + 5 + (–6) = –3.
- Vectors 𝑥 and 𝑦 are drawn on a grid. Using a pencil, ruler and squared paper, draw a vector that represents 𝑥 – 𝑦.

Vector 𝑥 – 𝑦 is a displacement of 4 squares to the right and 2 squares down.

Start by drawing vector 𝑥. Vector 𝑥 is a displacement 4 squares to the right and 3 squares up.
At the end of vector 𝑥, draw vector –𝑦. Vector 𝑦 is a displacement of 5 squares up. So vector –𝑦 is a displacement of 5 squares down.
The resultant vector is shown in the diagram.
How to describe a pathway using vectors

It is possible to describe a pathway around a grid or geometric shape using vectors.
For example, a route from \({A}\) to \({B}\), via a point, \({O}\), can be expressed using vectors:
\(\overrightarrow{AB} = \overrightarrow{𝐴𝑂} + \overrightarrow{𝑂𝐵}\)
When using vectors to describe a route, always use pathways that are already given.
In the triangle in the image to the right, \(\overrightarrow{OA}\) = 𝑎 and \(\overrightarrow{OB}\) = 𝑏.
\(\overrightarrow{AB}\) is equivalent to –𝑎 + 𝑏.
The vectors can be simplified using the same rules as for simplifying algebra expressions.

Find out more below, along with a worked example
GCSE exam-style questions
- The grid shown has been formed by 12 congruent parallelograms.
\(\overrightarrow{OA} = 𝑎\) and \(\overrightarrow{OF} = 𝑓 \).
Express the vector \(\overrightarrow{LJ}\) in terms of 𝑎 and 𝑓.

\(\overrightarrow{LJ} = 3𝑎 - 𝑓\)

Plan a route from \({L}\) to \({J}\) along line segments where the vectors are known.
\(\overrightarrow{LJ} = \overrightarrow{LQ} + \overrightarrow{QJ}\)
The direction of \(\overrightarrow{QJ}\) is in the opposite direction, so a negative vector is used.
\(\overrightarrow{LJ} = 𝑎 + 𝑎 + 𝑎 – 𝑓 \) which simplifies to \(\overrightarrow{LJ} = 3𝑎 – 𝑓 \).
- The grid shown has been formed by 6 congruent equilateral triangles.
\(\overrightarrow{OA} = 𝑎 \) and \(\overrightarrow{OE} = 𝑒 \)
Express the vector \(\overrightarrow{OC}\) in terms of 𝑎 and 𝑒.

\(\overrightarrow{OC} = 2𝑎 + 2𝑒\)

Plan a route from \({𝑂}\) to \({𝐶}\) along line segments where the vectors are known.
\(\overrightarrow{OC} = \overrightarrow{OE} + \overrightarrow{EX} + \overrightarrow{XD} + \overrightarrow{DC} \)
Vectors \(\overrightarrow{EX} \) and \(\overrightarrow{DC} \) are equivalent to 𝑎.
Vector \(\overrightarrow{XD} \) is equivalent to 𝑒.
\(\overrightarrow{OC} = 𝑒 + 𝑎 + 𝑒 + 𝑎 \) which simplifies to \(\overrightarrow{OC} = 2𝑎 + 2𝑒\).
Quiz – Vectors
Practise what you've learned about vectors with this quiz.
Now you've revised vectors, why not look at right-angled trigonometry?
More on Geometry and measure
Find out more by working through a topic
- count35 of 35

- count1 of 35

- count2 of 35

- count3 of 35
