นักโทษคดีฆาตกรรมเรียนไม่จบมัธยมปลาย แก้ปัญหาคณิตศาสตร์ขั้นสูงได้ในเรือนจำ

ที่มาของภาพ, Getty Images
ในช่วงเวลาที่ชีวิตตกต่ำประสบเคราะห์กรรมและความยากลำบาก มีผู้คนจำนวนไม่มากนักที่สามารถค้นพบสิ่งดีงามซึ่งยังหลงเหลืออยู่ในตนเอง และนำมาใช้พลิกฟื้นแก้ไขอดีตที่ผ่านมาได้
ตัวอย่างเช่นนายคริสโตเฟอร์ เฮเวนส์ ชาวอเมริกัน ซึ่งปัจจุบันต้องโทษจำคุก 25 ปีที่เรือนจำรัฐวอชิงตันในคดีฆาตกรรม แต่เขาได้ใช้ช่วงเวลาที่หมดอิสรภาพนี้ สร้างเส้นทางอาชีพนักคณิตศาสตร์ระดับโลกขึ้นมาได้สำเร็จ
เรื่องราวที่เหลือเชื่อนี้ได้รับการเปิดเผยทางเว็บไซต์ The Conversation หลังจากที่เฮเวนส์ตีพิมพ์ผลงานการค้นพบใหม่ว่าด้วยทฤษฎีจำนวน ลงในวารสารวิชาการด้านคณิตศาสตร์ที่มีชื่อเสียงระดับโลก Research in Number Theory ไปเมื่อช่วงปลายเดือนมกราคมที่ผ่านมา
เฮเวนส์บอกว่าศาลพิพากษาให้เขามีความผิดฐานก่อเหตุฆาตกรรมเมื่อปี 2011 และปัจจุบันเขาได้รับโทษจำคุกมาเกือบสิบปีแล้ว แต่เมื่อย้อนไปในช่วงที่เพิ่งเข้าเรือนจำมาได้ไม่กี่เดือน เขาเคยถูกนำตัวไปขังเดี่ยวหลายครั้งเพราะพฤติกรรมก้าวร้าว ซึ่งการขังเดี่ยวนี้เองทำให้เขาหันมาทบทวนวิชาคณิตศาสตร์และศึกษาเพิ่มเติมด้วยตนเอง จนค้นพบว่าเขามีใจรักในการคำนวณอย่างแท้จริง
ในช่วงต้นปี 2013 เฮเวนส์ซึ่งเคยติดยาเสพติดและเรียนไม่จบชั้นมัธยมปลาย ได้เขียนจดหมายไปหาบรรณาธิการของวารสารวิชาการด้านคณิตศาสตร์ฉบับหนึ่ง เพื่อขอรายละเอียดการสมัครเป็นสมาชิก และขอความช่วยเหลือให้ได้ติดต่อพูดคุยกับผู้เชี่ยวชาญที่จะสอนคณิตศาสตร์ชั้นสูงให้เขาได้ เฮเวนส์เขียนในจดหมายฉบับนั้นว่า
"ผมตัดสินใจจะใช้เวลาที่ต้องโทษจำคุกพัฒนาตนเอง และตอนนี้กำลังศึกษาเรื่องแคลคูลัสกับทฤษฎีจำนวนอยู่ การที่ผมเรียนด้วยตนเองทำให้ต้องติดขัดบ่อย ๆ แก้ปัญหาหลายข้อไม่ได้อยู่นาน มีใครที่พอจะเขียนจดหมายโต้ตอบกับผมในเรื่องพวกนี้ได้บ้างไหม ? ผมจะส่งซองจดหมายติดแสตมป์ไปให้ด้วยเลย ต่อไปผมจะได้ไม่ต้องเสียเงินหลายร้อยดอลลาร์ สุ่มซื้อหนังสือที่อาจช่วยหรือไม่ช่วยให้ผมเข้าใจมากขึ้นเลยก็ได้"
บรรณาธิการผู้นั้นได้แนะนำให้เฮเวนส์รู้จักกับพ่อตาของเขาเอง ซึ่งก็คือศาสตราจารย์อุมแบร์โต แชร์รูติ นักทฤษฎีจำนวนจากมหาวิทยาลัยตูรินของอิตาลี ซึ่งยินดีจะติดต่อกับเฮเวนส์ด้วยการเขียนจดหมายที่ส่งทางไปรษณีย์เท่านั้น เพราะในเรือนจำของเขาไม่มีอินเทอร์เน็ตให้ใช้
ในตอนแรก ศ. แชร์รูติคิดว่าเฮเวนส์อาจเป็นเพียงพวกสติเฟื่องร้อนวิชา ที่ชอบเสนอทฤษฎีหรือวิธีแก้ปัญหาขั้นสูงแบบผิด ๆ แต่เมื่อเขาลองทดสอบให้เฮเวนส์แก้ปัญหาคณิตศาสตร์ที่ซับซ้อนอย่างมาก เขาต้องตกตะลึงเมื่อพบว่าเฮเวนส์ทำได้ถูกต้อง
หลังจากนั้นศ. แชร์รูติจึงแนะนำให้เฮเวนส์รู้จักกับงานวิจัยเรื่องปัญหาเศษส่วนต่อเนื่อง (continued fraction) ที่เขากำลังทำอยู่ ซึ่งในที่สุดเฮเวนส์ได้ช่วยให้ค้นพบแบบแผนบางอย่างในการประมาณค่าจำนวนซึ่งอยู่ในรูปเศษส่วนต่อเนื่องนี้ได้ โดยไม่ได้ใช้คอมพิวเตอร์เข้าช่วยในการคำนวณแก้ปัญหาดังกล่าวเลย
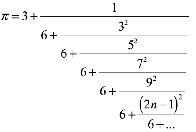
เศษส่วนต่อเนื่องถูกค้นพบโดยยูคลิด (Euclid) นักคณิตศาสตร์ชาวกรีกที่มีชีวิตอยู่เมื่อ 300 ปีก่อนคริสตกาล เป็นวิธีเขียนแสดงจำนวนอีกรูปแบบหนึ่งโดยใช้ลำดับ (sequence) ของจำนวนเต็ม เช่นค่าพาย (π) ที่เขียนในรูปทศนิยม จะเท่ากับ 3.14159… แต่จำนวนที่เป็นทศนิยมไม่รู้จบนี้ สามารถเขียนให้อยู่ในรูปที่เรียบง่ายชัดเจนกว่าได้ด้วยเศษส่วนต่อเนื่อง

ที่มาของภาพ, WIKIMEDIA COMMONS
การค้นพบใหม่ว่าด้วยแบบแผนในเศษส่วนต่อเนื่องของเฮเวนส์และทีมวิจัยที่เกี่ยวข้อง จะทำให้ความรู้ด้านทฤษฎีจำนวนก้าวหน้าไปมากขึ้น ซึ่งปัจจุบันทฤษฎีนี้ถูกนำไปใช้งานด้านวิทยาการเข้ารหัสลับ (cryptography) ในแวดวงการเงินการธนาคารและการทหารอย่างแพร่หลาย
ปัจจุบันเฮเวนส์กำลังเรียนทางไปรษณีย์กับมหาวิทยาลัยแห่งหนึ่งในสหรัฐฯ ในหลักสูตรขั้นประกาศนียบัตรทางวิทยาศาสตร์ (Associate of Science) และมีแผนจะเรียนต่อในระดับปริญญาตรีและบัณฑิตศึกษาหลังพ้นโทษ เขาหวังว่าจะเป็นนักคณิตศาสตร์อาชีพ และยกระดับโครงการสอนวิชาเลขในเรือนจำที่เขาทำอยู่ให้เป็นองค์กรไม่แสวงผลกำไร ซึ่งส่งเสริมนักโทษผู้มีความสามารถทางคณิตศาสตร์เป็นพิเศษในอนาคต





























