مریم نواز کی آڈیو ٹیپ: ’کم اشتہار ملنا بڑا جرم ہے یا صحافی کا اغوا، لوگوں کو فیصلہ کرنے دیں‘

،تصویر کا ذریعہReuters
- مصنف, زبیر اعظم
- عہدہ, بی بی سی اردو ڈاٹ کام، اسلام آباد
تحریک انصاف کی حکومت نے مسلم لیگ ن کی نائب صدر مریم نواز کی جانب سے گذشتہ روز کیے جانے والے ان انکشافات کی تحقیقات کے لیے کمیٹی قائم کر دی ہے جن کے مطابق ن لیگی رہنما نے چند نجی چینلز کو اشتہارات نہ دینے کا حکم دیا تھا۔
ادھر مسلم لیگ ن کے رہنما پرویز رشید نے کہا ہے کہ ’کیا کسی کو کم اشتہار ملنا بڑا جرم ہے یا کسی صحافی کو اغوا کر لینا؟ اور لوگوں کو فیصلہ کرنے دیا جائے کہ کون چھوٹی غلطیوں کا مرتکب ہو رہا ہے اور کون بڑی غلطیاں کر رہا ہے۔‘
واضح رہے کہ چند روز قبل سوشل میڈیا پر مریم نواز کی ایک آڈیو ریکارڈنگ لیک ہوئی تھی جس میں انھیں چند پاکستانی ٹی وی چینلز کا نام لیتے ہوئے یہ کہتے سنا جا سکتا ہے کہ اب ان کو کوئی اشتہارات نہیں دیے جائیں گے۔
جمعرات کو ایک پریس کانفرنس کے دوران، جہاں وہ سابق چیف جسٹس ثاقب نثار کی آڈیو ٹیپ سے متعلق گفتگو کر رہی تھیں، ان سے سوال ہوا کہ کیا جس آڈیو کو ان سے منسوب کیا جا رہا ہے وہ درست ہے تو مریم نواز نے اس کی تصدیق کی۔
اس اعتراف کے بعد وفاقی وزیر اطلاعات فواد چوہدری نے جوابی پریس کانفرنس میں دعویٰ کیا کہ مریم نواز نے ن لیگ کے دور حکومت میں سرکاری اشتہارات من پسند چینلز اور صحافیوں میں بانٹے جو غیر قانونی ہے اور اعلان کیا کہ حکومت اس معاملے کی تحقیقات کرے گی۔
حکومتی کمیٹی کی تحقیقات کا دائرہ کار کیا ہو گا؟
وفاقی وزارت اطلاعات و نشریات کی جانب سے جاری بیان کے مطابق مریم نواز کے انکشافات پر تحقیقات کے لیے قائم کمیٹی 'ن لیگ کے دور حکومت میں میڈیا کو جاری کیے جانے والے اشتہارات میں بےضابطگیوں اور میڈیا سیل کے ذریعے من پسند صحافیوں اور مختلف میڈیا گروپس کو نوازنے سے متعلق اپنی رپورٹ مرتب کرے گی۔'
بیان کے مطابق الزام عائد کیا گیا ہے کہ 'مریم نواز کی سرپرستی میں قائم میڈیا سیل کے ذریعے قومی خزانے سے وفاقی حکومت کے 9 ارب 62 کروڑ 54 لاکھ 3 ہزار 902 روپے خرچ کیے گئے اور مذکورہ میڈیا سیل سے پنجاب کی ایڈورٹزمنٹ کو کنٹرول کرنے کے شواہد بھی سامنے آئے ہیں۔ تحقیقاتی کمیٹی میڈیا سیل کے ذریعے سرکاری رقوم کے غیر قانونی استعمال کے معاملات کی تحقیقات کر کے اپنی رپورٹ مرتب کرے گی۔‘

،تصویر کا ذریعہGetty Images
مریم نواز کی آڈیو ٹیپ میں کیا کہا گیا؟
مریم نواز کی آڈیو میں ُسنا جا سکتا ہے کہ وہ کہہ رہی ہیں 'آج سے سما کے اشتہار بلکل بند ہیں۔ ٹھیک ہے؟ ٹوئنٹی فور چینل کو، سما کو، نائنٹی ٹو کو اور کیا نام ہے اس کا۔۔ اے آر وائی کو۔۔ کوئی ایڈ نہیں جائے گا، بالکل۔'
End of سب سے زیادہ پڑھی جانے والی
اپنی پریس کانفرنس میں اس آڈیو کی تصدیق مریم نواز نے کچھ ان الفاظ میں کی؛ 'میں یہ نہیں کہہ رہی کہ وہ جوڑ جوڑ کر بنائی گئی ہے یا وہ میری آواز نہیں ہے، وہ میری ہی آواز ہے۔'
ایک اور سوال کے جواب میں مریم نواز کا کہنا تھا کہ ’میری پارٹی کا میڈیا سیل میں تب چلا رہی تھی۔ وہ بہت پرانی ہے لیکن میں نے جب کہہ دیا کہ میں یہ نہیں کہہ رہی کہ وہ میری فلاں تقریر سے توڑ جوڑ کر بنائی گئی ۔ تو یہ کافی ہے اس پر میں لمبی چوڑی بات کر سکتی ہوں لیکن پھر کسی وقت۔‘
اس پریس کانفرنس کے دوران سابق وفاقی وزیر اور مسلم لیگ ن کے رہنما پرویز رشید، جو مریم نواز کے ساتھ بیٹھے دیکھے جا سکتے ہیں، مریم نواز کو یہ کہتے سنائی دیے کہ ’یہ آج کی بات نہیں ہے، اس پر نہ کرنا بات۔‘
’ن لیگ نے من پسند چینلز اور صحافیوں کو نوازا‘
مریم نواز کے اس اعتراف کے بعد سوال کیا جا رہا ہے کہ کیا انھوں نے جن اشتہارات کا تذکرہ کیا وہ سرکاری اشتہارات تھے؟
وفاقی وزیر اطلاعات فواد چوہدری نے گذشتہ روز مریم نواز کی پریس کانفرنس کے جواب میں دعویٰ کیا کہ ن لیگ کے دور میں مریم نواز نے میڈیا سیل کے ذریعے پندرہ سے اٹھارہ ارب روپے وفاق اور پنجاب کی سطح پر تقسیم کیے۔
انھوں نے کہا کہ 'مریم نواز نے میڈیا سیل کے ذریعے دس ارب روپیہ صرف اسلام آباد میں اپنے من پسند چینلز کو بیچا۔ پنجاب میں بھی اشتہارات کو یہی سیل کنٹرول کر رہا تھا۔ میں چینلز کے نام نہیں لیتا۔ کچھ چینلز کے انھوں نے نام لیے جن کو انھوں نے سزا دی۔ کچھ چینلز کے نام انھوں نے نہیں لیے۔ کل ملا کر پندرہ سے اٹھارہ ارب روپیہ صحافیوں میں، مختلف میڈیا گروپس میں بانٹا گیا اور مریم نواز کا آج کا اعتراف واضح طور پر غیر اخلاقی تو ہے ہی، غیر قانونی بھی ہے۔‘
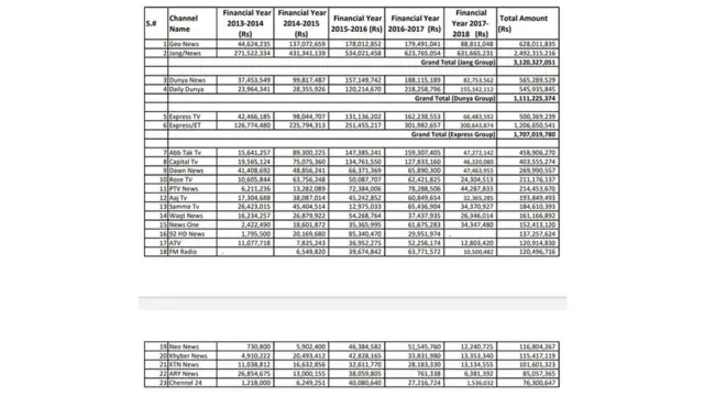
وفاقی وزیر اطلاعات نے میڈیا کو ایک فہرست بھی فراہم کی جس کے مطابق ن لیگ دور حکومت میں پانچ سالوں کے دوران (2013 تا 2018) ٹی وی چینلز کو دیے جانے والے اشتہارات کی رقم کا تخمینہ پیش کیا گیا تھا۔
اس فہرست کا جائزہ لیں تو جنگ اور جیو گروپ کو سب سے زیادہ اشتہارات دیے گئے جو تقریبا تین ارب روپے کے قریب بنتے ہیں جب کہ دنیا اور ایکسپریس گروپ دوسرے اور تیسرے نمبر پر ہیں۔

،تصویر کا ذریعہEPA
جن چینلز کا نام مریم نواز کی آڈیو ٹیپ میں آتا ہے ان میں سے سما نیوز تقریبا 18 کروڑ روپے کے ساتھ 13ویں، 92 نیوز 13 کروڑ کے ساتھ 16ویں، اے آر وائی نیوز ساڑھے آٹھ کروڑ روپے کے اشتہارات کے ساتھ 22ویں اور چینل 24 ساڑھے سات کروڑ کے ساتھ فہرست میں آخری نمبر پر ہے۔
فواد چوہدری نے اعلان کیا کہ حکومت اس معاملے کی سنجیدہ تحقیقات کروائے گی کیوں کہ ایک نجی شخص کا پبلک فنڈز کو کنٹرول کرنا ایف آئی اے کے تحت جرم بنتا ہے۔
’مریم کو نہیں یاد کہ یہ بات کب ہوئی تھی‘
فواد چوہدری کے دعوے کے بعد ن لیگ کی جانب سے اس بات کی تردید کی گئی ہے کہ مریم نواز نے جس آڈیو کی تصدیق کی اس میں سرکاری اشتہارات کا تذکرہ ہو رہا تھا۔
اے آر وائی کے پروگرام 'آف دی ریکارڈ' کے میزبان کاشف عباسی سے بات کرتے ہوئے ن لیگ کی ترجمان مریم اورنگزیب کا کہنا تھا کہ 'یہ پبلک منی نہیں تھی بلکہ پارٹی فنڈز تھے جن کی بات ہو رہی ہے اور اس میں کوئی غیر قانونی بات نہیں۔ یہ 2015 کی نہیں ہے، 2009 یا 2010 کی بھی بات ہو سکتی ہے۔‘
اہم بات یہ ہے کہ نہ تو مریم نواز اور نہ ہی مریم اورنگزیب نے اپنی گفتگو کے دوران اس سوال کا جواب دیا کہ یہ ٹیپ کس وقت اور تاریخ کی ہے۔
بی بی سی نے جب یہی سوال سابق وزیر اطلاعات اور ن لیگ کے سنیٹر پرویز رشید کے سامنے رکھا تو ان کا کہنا تھا کہ مریم نواز کے مطابق انھیں اب یہ نہیں یاد کہ یہ ٹیپ کس وقت کی ہے۔
پرویز رشید کا کہنا تھا کہ ان کو مریم نواز نے یہی کہا کہ وہ پارٹی کے لوگوں سے بات کر رہی تھیں اور پارٹی کے اشتہارات کی بات ہو رہی تھی۔'مجھے مریم نے کہا کہ آپ اس وقت وزیر اطلاعات تھے، کیا میں نے کبھی آپ کو کہا کہ کس کو اشتہار دینا ہے اور کس کو نہیں؟ اور واقعی ایسا کبھی نہیں ہوا۔'
پرویز رشید کے مطابق مریم کی آڈیو میں کوئی سرکاری اہلکار نہیں، بلکہ ایک سیاسی جماعت کا ورکر الیکشن مہم کے دوران بات کر رہا ہے، جس کو یہ حق حاصل ہے کہ وہ یہ دیکھتے ہوئے کہ اس کا ووٹ بینک کون سا چینل دیکھتا یا کون سا اخبار پڑھتا ہے یہ فیصلہ کرے کہ اس نے کس کو اشتہار دینا ہے۔
حکومت میں اشتہار دینے کا کیا طریقہ کار ہوتا ہے؟
پرویز رشید سے جب سوال کیا گیا کہ تحریک انصاف حکومت کی جانب سے اشتہارات کی جو لسٹ دکھائی جا رہی ہے اس کے مطابق جن چینلز کے نام آڈیو میں ہیں ان کو ن لیگ کے دور حکومت میں کم اشتہارات دیے گئے تو پرویز رشید نے جواب دیا کہ یہ تو کسی بھی چیز کا ثبوت نہیں۔
ان کا کہنا تھا کہ حکومت کو چاہیے کہ وہ عوام کے سامنے اپنے تین سالوں کے اشتہارات کی تقسیم لے کر آئے تاکہ یہ معلوم ہو سکے کہ انہوں نے جیو یا جنگ گروپ کو کتنا عرصہ اشتہارات نہیں دیے۔
سابق وزیر اطلاعات نے ایک سوال کے جواب میں کہا کہ ان کے دور میں وزارت اطلاعات میں اشتہارات دینے کا فیصلہ صرف یہ دیکھ کر کیا جاتا تھا کہ کون سا چینل زیادہ دیکھا جا رہا ہے۔
'ہر ڈپارٹمنٹ اپنے اشتہار کے لیے خود لسٹ دیتا ہے اور بتاتا ہے کہ کس اشتہار کو کس پروگرام میں اور کہاں چلانا ہے، وزارت تو صرف اشتہار جاری کرتی ہے اور اس کی ادائیگی کرتی ہے۔'

،تصویر کا ذریعہNA.GOV.PK
'کسی کو کم اشتہار ملنا بڑا جرم ہے یا کسی صحافی کو اغوا کر لینا؟'
اس سوال پر کہ کیا مریم نواز کا چند چینلز کو اشتہارات نہ دینے کا فیصلہ ن لیگ کے میڈیا کی آزادی کے موقف کی تردید نہیں پرویز رشید کا کہنا تھا کہ ’جب ملک میں دھرنے کرائے گئے، ایک منتخب حکومت کو تنگ کیا گیا، تو اس وقت میڈیا کا ایک بڑا حصہ اسٹیبلشمنٹ کے ہاتھوں عوام کی ذہن سازی کے لیے استعمال کیا گیا اور یہ بیانیہ بنایا گیا کہ سیاست دان کرپٹ ہوتے ہیں، باریاں لیتے ہیں تو اس کشمکش کے جواب میں دوسری طرف موجود لوگ بھی وہ کرتے ہیں جو ان کے اختیار میں ہوتا ہے۔ جن پر حملہ ہوتا ہے وہ بھی اپنی سی کوشش کرتے ہیں۔'
پرویز رشید کا کہنا تھا کہ ’نہتی جمہوریت کا مقابلہ ایک ایسی طاقت کے ساتھ ہوتا ہے جس کے پاس وسائل بھی ہیں، جو مذہبی جذبات اور صحافت کا بھی استعمال کرتی ہے تو ایسے میں جب ایک فریق کو نشانہ بنایا جاے گا تو دوسرے فریق کی بھی بات کریں اور پھر لوگوں کو فیصلہ کرنے دیں کہ کون چھوٹی غلطیوں کا مرتکب ہو رہا ہے اور کون بڑی غلطیاں کر رہا ہے۔ کیا کسی کو کم اشتہار ملنا بڑا جرم ہے یا کسی صحافی کو اغوا کر لینا؟'
پرویز رشید نے دعویٰ کیا کہ اشتہارات تو مالکان کو دیے جاتے ہیں، ان سے صحافیوں کا تعلق نہیں۔ 'ہمارے دور حکومت میں کسی نصرت جاوید، حامد میر، طلعت حسین یا عنبر شمسی کو نوکری سے برخاست نہیں کیا گیا۔ مالکان کی آزادی علیحدہ بات ہے، صحافیوں کی آزادی سے متعلق ن لیگ کا ریکارڈ 2013 سے 2018 تک بے داغ تھا۔'
’آزاد صحافی کسی بھی حکومت کو قبول نہیں‘

،تصویر کا ذریعہGetty Images
سما چینل کے سینیئر صحافی ندیم ملک کا نام بھی مریم نواز کی آڈیو میں سُنا جا سکتا ہے۔
بی بی سی سے بات کرتے ہوئے انھوں نے کہا کہ اُن کے خیال میں مریم کی یہ آڈیو ریکارڈنگ سنہ 2014 کے اواخر یا سنہ 2015 کے شروع کی ہو سکتی ہے کیونکہ 'اُس وقت دھرنے کی کوریج کے دوران سما پر کافی دباؤ آیا اور دھرنے کی کوریج کرنے والے ہمارے سٹاف کو پنجاب پولیس نے مظاہرین کو منتشر کرتے ہوئے مارا بھی، چینل کے مالک کو وزیر اعظم نے بُلا کر خصوصاً میری شکایت بھی کی۔'
ندیم ملک کا کہنا تھا کہ ان کو صحافت کرتے ہوئے تیس سال ہو چکے ہیں لیکن انھوں نے ایسی کوئی حکومت نہیں دیکھی جو آزادانہ رپورٹنگ کرنے والے میڈیا سے خوش رہی ہو۔ 'موجودہ حکومت ہو یا ن لیگ کی سابق حکومت، آزاد صحافی کسی کو بھی قابل قبول نہیں۔'
'اشتہارات کی تقسیم کا شفاف اور آزادانہ نظام ضروری ہے'
سینیئر صحافی مظہر عباس کہتے ہیں کہ صحافی تنظیموں کا ہمیشہ یہی مطالبہ رہا ہے کہ سرکاری اشتہارات کی تقسیم حکومت کے ہاتھ سے نہیں ہونی چاہیے بلکہ اس کا شفاف اور آزادانہ طریقہ کار ہو 'کیونکہ یہ کرپشن کا بھی ذریعہ ہے اور ایک حربے کے طور پر بھی استعمال ہوتا ہے۔'
مظہر عباس نے کہا کہ جہاں حکومت اس بات کی تحقیق کر رہی ہے کہ کیا واقعی مریم نواز نے سرکاری اشتہارات کی بات کی ’وہیں بہتر ہو گا کہ یہ بھی طے کر لیا جائے کہ سرکاری اشتہارات حکومت کے ہاتھ سے نکال کر نیا طریقہ کار وضع کیا جائے۔ ہمارے ہاں پالیسیوں میں شفافیت ہونی چاہیے کیوں کہ یہ سیاسی رشوت کے زمرے میں آتا ہے۔'
مریم نواز کے اعتراف پر مظہر عباس کا کہنا تھا کہ اگر ان کا کہنا مانا جائے کہ وہ پارٹی فنڈز کی بات کر رہی تھیں تو ہر سیاسی جماعت کو یہ حق تو حاصل ہے کہ وہ کس کو اشتہار دیتا ہے لیکن کسی بڑی سیاسی جماعت کو یہ زیب نہیں دیتا اور بہتر ہو کہ ان اداروں کو بھی اشتہار دیے جائیں جو کسی سیاسی جماعت کے خلاف بات کرتے ہیں۔
مظہر عباس نے اس بات پر زور دیا کہ حکومت کی جانب سے جن تحقیقات کا اعلان کیا گیا ہے وہ شفاف اور آزادانہ ہوں اور ان میں وفاقی وزیر اطلاعات فواد چوہدری کے اس دعوے کی بھی تحقیق ہو کہ ن لیگ کی جانب سے چند صحافیوں کو نوازا گیا۔
’اس کی بھی تحقیق ہونی چاہیئے اور آزادانہ ہونی چاہییے کہ کس کو پیسے دیے گئے اور کس مد میں دیے گئے۔'




















