Investigating bulb brightness experiment
Investigate the brightness of bulbs in series and parallel
This experiment will investigate how the brightness of bulbs changes depending on whether they are arranged in seriesA circuit where one component follows directly from another, eg three bulbs in a row with no junctions are said to be connected in series. or parallelA circuit where supply current branches through two or more components then re-joins on its return to the supply..
Aim of the experiment
To see how the brightness of bulbs change as they are connected in series and parallel and to measure the potential differenceThe potential difference (or voltage) of a supply is a measure of the energy given to the charge carriers in a circuit. Units = volts (V). This is the voltage between two points that makes an electric current flow between them. across the bulbs and the currentMoving electric charges, eg electrons moving through a metal wire. through the bulbs in series and parallel.
Method
- Build a simple series circuit with one bulb and a battery. Add an ammeterA device used to measure electric current. in the loop and a voltmeterA device used to measure potential difference or voltage. in parallel with the bulb, as shown in the first diagram.
- Take notes about the brightness of the bulb, for example whether it is bright or dim. Record the readings from the ammeter in amps (A) and the voltmeter in volts (V).
- Add another bulb into the loop, as shown in the second diagram. Record the brightness, current and potential difference for each bulb.
- Repeat this method for each of the following circuits:
Description
Diagram
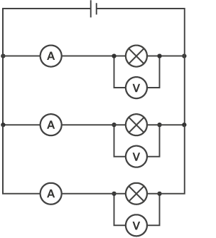
Circuit 3: Ammeter on each branch, voltmeter across each bulb
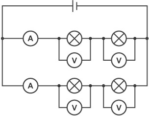
Circuit 4: Ammeter on each branch, voltmeter across each bulb
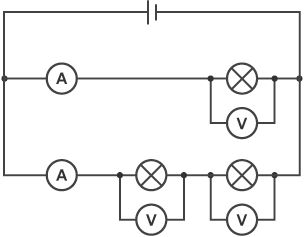
Circuit 5: Ammeter on each branch, voltmeter across each bulb
Circuit 6: Ammeter on each branch, voltmeter across each bulb
Results
A suitable results table for each circuit might be:
| Bulb | Brightness | Current (A) | Potential difference (V) |
| 1 | ... | ... | ... |
| 2 | ... | ... | ... |
| 3 | ... | ... | ... |
| 4 | ... | ... | ... |
| Bulb | 1 |
|---|---|
| Brightness | ... |
| Current (A) | ... |
| Potential difference (V) | ... |
| Bulb | 2 |
|---|---|
| Brightness | ... |
| Current (A) | ... |
| Potential difference (V) | ... |
| Bulb | 3 |
|---|---|
| Brightness | ... |
| Current (A) | ... |
| Potential difference (V) | ... |
| Bulb | 4 |
|---|---|
| Brightness | ... |
| Current (A) | ... |
| Potential difference (V) | ... |
These are example results for Circuit 5 (parallel circuit, two bulbs on one branch, single bulb on the other branch).
| Bulb | Brightness | Current (A) | Potential difference (V) |
| 1 | Dim | 0.40 | 3.00 |
| 2 | Dim | 0.40 | 3.00 |
| 3 | Bright as single series bulb | 0.80 | 6.00 |
| Bulb | 1 |
|---|---|
| Brightness | Dim |
| Current (A) | 0.40 |
| Potential difference (V) | 3.00 |
| Bulb | 2 |
|---|---|
| Brightness | Dim |
| Current (A) | 0.40 |
| Potential difference (V) | 3.00 |
| Bulb | 3 |
|---|---|
| Brightness | Bright as single series bulb |
| Current (A) | 0.80 |
| Potential difference (V) | 6.00 |
Analysis
- describe what you notice about the brightness of the bulbs in series and in parallel
- explain why some bulbs are brighter than others
- explain what the current and potential difference readings tell you about series and parallel circuits
Evaluation
When in series, bulbs become dimmer as the potential difference is shared equally across the bulbs. The current reads the same for each component.
In parallel, each branch shows the same potential difference, so the bulbs on one branch will have the same relative brightness. The current for each bulb will add up to the current near the battery.
Hazards and control measures
| Hazard | Consequence | Control measures |
| Overheating components - hot bulb | Burned fingers or scorched desk | Use a heatproof mat and switch off between readings to ensure components don't get too hot |
| Blown bulb | Shattered glass | Never exceed the maximum supply voltage |
| Hazard | Overheating components - hot bulb |
|---|---|
| Consequence | Burned fingers or scorched desk |
| Control measures | Use a heatproof mat and switch off between readings to ensure components don't get too hot |
| Hazard | Blown bulb |
|---|---|
| Consequence | Shattered glass |
| Control measures | Never exceed the maximum supply voltage |
More guides on this topic
- Electric charge - OCR 21st Century
- How to affect electric current - OCR 21st Century
- Electrical power and energy - OCR 21st Century
- What are magnetic fields? - OCR 21st Century
- Electric motors - Higher - OCR 21st Century
- What is the process inside an electric generator? - Higher
- Sample exam questions - electric circuits - OCR 21st Century