นักคณิตศาสตร์คิดค้นสูตรช่วยให้ผู้ชายไปถึงจุดสุดยอด

ที่มาของภาพ, Getty Images
ใครจะคาดคิดว่าการไปถึงจุดไคลแมกซ์หรือการบรรลุความสุขสมทางเพศระดับสุดยอด จะสามารถใช้หลักการทางคณิตศาสตร์เข้ามาช่วยเหลือได้ โดยเฉพาะอย่างยิ่งกับบรรดาหนุ่มน้อยหนุ่มใหญ่ที่มักให้ความสนใจกับกิจกรรมด้านนี้เป็นพิเศษ
ทีมนักคณิตศาสตร์จากมหาวิทยาลัยซัสเซกซ์ของสหราชอาณาจักร อ้างว่าสามารถคิดค้นสูตรสำเร็จที่จะช่วยนำพาให้บุรุษเพศมีโอกาสไปถึงจุดสุดยอดได้มากที่สุดในการร่วมรักทุกครั้ง โดยนำปัจจัยต่าง ๆ ทั้งด้านสภาพร่างกายและสิ่งกระตุ้นเร้าทางจิตวิทยามาคำนวณร่วมกัน
สูตรคณิตศาสตร์ที่ตีพิมพ์เผยแพร่ในวารสาร Chaos ซึ่งว่าด้วยสหวิทยาการนอกระบบเชิงเส้น (Interdisciplinary Journal of Nonlinear Science) แท้จริงแล้วคือแบบจำลอง (model) ที่ใช้คำนวณและทำนายถึงสมรรถภาพทางเพศของผู้ชายในการมีเพศสัมพันธ์แต่ละครั้งได้ค่อนข้างแม่นยำ โดยทีมผู้วิจัยได้พัฒนาแบบจำลองนี้ขึ้นจากสูตรคำนวณสมรรถภาพของนักกีฬา
แม้สูตรคำนวณดังกล่าวมีความซับซ้อน และยากจะอธิบายให้คนทั่วไปที่ไม่ใช่นักคณิตศาสตร์เข้าใจได้ แต่ทีมผู้วิจัยได้กล่าวสรุปถึงสาระสำคัญของสูตรรักดังกล่าว ซึ่งบรรดาหนุ่มน้อยหนุ่มใหญ่สามารถนำไปปฏิบัติในชีวิตจริงได้ว่า
“ยิ่งมีปัจจัยที่เป็นสิ่งกระตุ้นเร้าทางจิตวิทยามาเกี่ยวข้องมากขึ้นเท่าไหร่ โอกาสที่จะไปถึงจุดสุดยอดยิ่งลดลงเท่านั้น กล่าวง่าย ๆ ก็คือผู้ชายไม่ควรใช้ความคิดหรือจินตนาการมากเกินไป โดยเฉพาะอย่างยิ่งในช่วงต้นของการร่วมรัก” ดร. คอนสแตนติน บลีอุส หนึ่งในสมาชิกของทีมวิจัยกล่าว

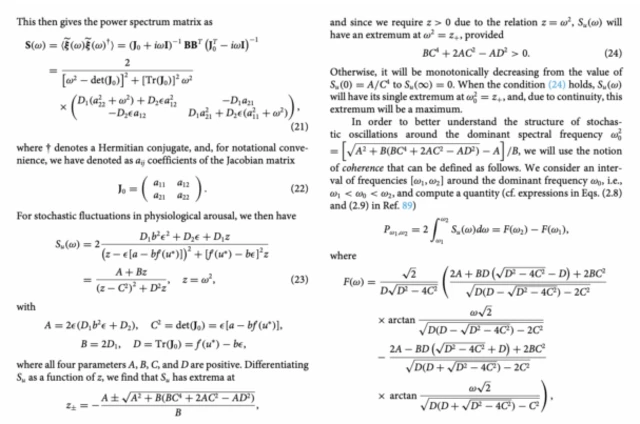
ที่มาของภาพ, BLYUSSA & KYRYCHKO
ข้อมูลที่ใช้ในการพัฒนาแบบจำลองนี้ มาจากงานวิจัยหลายชิ้นในอดีตที่มุ่งศึกษาความเคลื่อนไหวเปลี่ยนแปลงของระบบประสาทระหว่างการร่วมเพศของมนุษย์ โดยงานวิจัยบางชิ้นใช้อุปกรณ์ fMRI ตรวจวัดกระแสประสาทของอาสาสมัครชายหญิงหลายร้อยคู่ขณะร่วมเพศในห้องปฏิบัติการ
แม้โดยทั่วไปแล้วบุรุษเพศจะสามารถบรรลุถึงจุดสุดยอดได้ง่ายกว่าเพศหญิง แต่ก็มีจำนวนไม่น้อยที่ประสบกับปัญหาในเรื่องนี้ ทำให้ทีมผู้วิจัยหวังว่าสูตรคำนวณที่พวกเขาพัฒนาขึ้นมา จะช่วยเป็นแนวทางในการเยียวยารักษาปัญหาสมรรถภาพทางเพศของผู้ชายในระดับคลินิกได้
ในอนาคตอันใกล้นี้ ทีมผู้วิจัยหวังว่าจะสามารถพัฒนาแบบจำลองทางคณิตศาสตร์ชิ้นใหม่ ซึ่งจะช่วยให้ผู้หญิงถึงจุดสุดยอดได้ง่ายขึ้นมาใช้งานด้วย แต่ยังคงต้องใช้เวลาอีกสักระยะ เพราะสูตรคำนวณสำหรับสตรีเพศนั้นมีปัจจัยทางจิตวิทยาเข้ามาเกี่ยวข้องมากกว่าผู้ชายหลายเท่าตัว ทำให้มีความซับซ้อนเพิ่มขึ้นเป็นทวีคูณ































