Key points about equations of parallel and perpendicular lines

parallelParallel lines are always the same distance apart. They never meet. lines have the same gradientA measure of the slope of a line..
Higher - perpendicularPerpendicular lines are at right angles to each other. lines have gradients that are the negative reciprocalWritten as 1 divided by the number, eg the reciprocal of 2 is ยฝ and the reciprocal of ยฝ is 2. The reciprocal is also called the multiplicative inverse. Any non-zero number multiplied by its reciprocal is equal to one. of each other.
Higher - The gradients of two perpendicular lines will always multiply to make โ1.
Make sure you are familiar with finding the equation of a line and calculating gradient to understand equations of parallel lines.
If you are working at Higher tier, make sure you are confident with dividing fractions to work with gradients of perpendicular lines.
Equations of parallel lines
The equation of a straight line is ๐ฆ = ๐๐ฅ + ๐ where ๐ฆ is the subjectThe subject of a formula or equation is the variable on its own on one side of the equals sign, eg ๐ฆ is the subject in ๐ฆ = 3๐ฅ + 5. of the equation, ๐ is the gradientA measure of the slope of a line., and ๐ is the๐ฆ-interceptThe point at which the line crosses the ๐ฆ-axis..
Parallel lines never meet and are always the same distance apart. They have the same gradient.
Equations of parallel lines have the same value of ๐, the coefficientA number or symbol multiplied with a variable or an unknown quantity in an algebraic term. For example, 4 is the coefficient of 4nยฒ. of ๐ฅ. To compare the values of ๐, the equations may need to be rearranged so that ๐ฆ is the subject.
For any given line, there are an infiniteUnlimited, goes on forever without end. Unable to be counted. An endless number. number of parallel lines with an endless number of ๐ฆ-intercepts.
To find the equation of a particular parallel line, substituteIn algebra, to replace a letter with a number. the ๐ฅ and ๐ฆ-coordinates of a point on the line into the equation ๐ฆ = ๐๐ฅ + ๐. The specific ๐ฆ-intercept can then be found by solving for ๐.
Follow the working out below
GCSE exam-style questions

- Find the equation of the line parallel to ๐ฆ = 5๐ฅ + 7 that passes through (0, 4).
๐ฆ = 5๐ฅ + 4
The gradient of the line ๐ฆ = 5๐ฅ + 7 is the coefficient of ๐ฅ, which is 5.
Any parallel line must have the same gradient of 5.
The ๐ฆ-intercept is given in the coordinate (0, 4) as this is where the line crosses the ๐ฆ-axis. The ๐ฆ-intercept is 4.
Substitute the gradient and ๐ฆ-intercept into the equation ๐ฆ = ๐๐ฅ + ๐.
- Show clearly that the lines ๐ฆ = 3๐ฅ + 7 and 2๐ฆ โ 6๐ฅ = 10 are parallel.
To show that two lines are parallel, they must have the same gradient. The gradient is the coefficient of ๐ฅ when the equation is in the form ๐ฆ = ๐๐ฅ + ๐.

The first equation ๐ฆ = 3๐ฅ + 7 is in the required form, but the second equation, 2๐ฆ โ 6๐ฅ = 10 needs to be rearranged.
Add 6๐ฅ to both sides to give 2๐ฆ = 6๐ฅ + 10.
Divide both sides by 2 to give ๐ฆ = 3๐ฅ + 5.
It is now clear that the two lines both have a gradient of 3 so are therefore parallel.
- Find the equation of the line parallel to ๐ฆ = 4๐ฅ + 3 that passes through (โ5, โ2).
๐ฆ = 4๐ฅ + 18

The gradient of the line ๐ฆ = 4๐ฅ + 3 is the coefficient of ๐ฅ, which is 4.
Any parallel line must have the same gradient of 4.
The equation of the parallel line must be of the following form:
๐ฆ = 4๐ฅ + ๐.Substitute the ๐ฅ-coordinate (โ5) and ๐ฆ-coordinate (โ2) into the equation.
Calculate the value of 4 ร โ5 and then solve the equation to find the value of ๐.
The ๐ฆ-intercept, ๐, is 18.
Quiz โ Equations of parallel lines
Practise what you have learned about equations of parallel lines with this quiz.
Parallel and perpendicular lines โ interactive activity
Use the interactive activity to see how lines are either parallel, perpendicular or neither, when selecting two graphs.
Equations of perpendicular lines are assessed at Higher tier only.
Check your understanding
Higher - Equations of perpendicular lines
Perpendicular lines are at right angles to each other.
If the gradientA measure of the slope of a line. of a line is ๐, the gradient of the perpendicular line is โ\(\frac{1}{m} \). The gradients of the two lines are the negativereciprocalWritten as 1 divided by the number, eg the reciprocal of 2 is ยฝ and the reciprocal of ยฝ is 2. The reciprocal is also called the multiplicative inverse. Any non-zero number multiplied by its reciprocal is equal to one. of each other.
If the gradients of two perpendicular lines are multiplied, the result is โ1.
Follow the working out below
GCSE exam-style questions

- What is the gradient of any line perpendicular to ๐ฆ = 2 โ \(\frac{1}{5} \) ๐ฅ ?
5

The gradient of the line ๐ฆ = 2 โ \(\frac{1}{5} \)๐ฅ is the coefficient of ๐ฅ, โ \(\frac{1}{5} \).
The gradient of a perpendicular line is the negative reciprocal of โ \(\frac{1}{5} \).
The negative reciprocal of a number is โ1 divided by the number.
โ1 รท โ\(\frac{1}{5} \) is the same as โ1 ร โ5, which is 5.
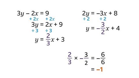
- Show that the lines given by the equations 3๐ฆ โ 2๐ฅ = 9 and 2๐ฆ = โ3๐ฅ + 8 are perpendicular.
Neither equation is in the form ๐ฆ = ๐๐ฅ + ๐ to identify the gradient, ๐. They must be rearranged.

For the first equation, add 2๐ฅ to both sides and divide both sides by 3. Make sure to divide each part of the right-hand side by 3. This gives ๐ฆ = \(\frac{2}{3} \)๐ฅ + 3.
For the second equation, divide both sides by 2. This gives ๐ฆ = โ\(\frac{3}{2} \)๐ฅ + 4.
The gradient of the first equation is \(\frac{2}{3} \). The gradient of the second equation is โ\(\frac{3}{2} \).
The two gradients are negative reciprocals of each other because they multiply to make โ1. Therefore, the two lines are perpendicular.
- Find the equation of the line perpendicular to ๐ฆ = โ4๐ฅ + 7 that passes through (12, 1)
๐ = \(\frac{1}{4} \)๐ โ 2

The gradient of the line ๐ฆ = โ4๐ฅ + 7 is โ4. The gradient of the perpendicular line is the negative reciprocal of โ4, which is \(\frac{1}{4} \).
Substitute the ๐ฅ-coordinate (12) and ๐ฆ-coordinate (1) of the point into the equation in place of ๐ฅ and ๐ฆ.
The value of \(\frac{1}{4} \) ร 12 is 3. Solve the equation to find the value of ๐. The ๐ฆ-intercept, ๐, is โ2.
Write the equation of the perpendicular line with its gradient of 1/4 and ๐ฆ-intercept of โ2. The equation of the line is ๐ฆ = \(\frac{1}{4} \)๐ฅ โ 2.
Video โ Perpendicular lines
Use the equation ๐ฆ = ๐๐ฅ + ๐ to prove that perpendicular lines on a graph have negative reciprocal gradients. Watch the video to find out more.
Equations of perpendicular lines are assessed at Higher tier only.
Perpendicular lines.
What do you notice about the gradients of these two perpendicular lines, one half and โ2?
Each is the negative reciprocal of the other. Remember, the reciprocal of a fraction is that same fraction, but with the numerator and denominator swapped.
And to find the reciprocal of a whole number, you can write it as a fraction with denominator 1 before flipping.
So, the negative reciprocal of one half is โ2 over 1, or just โ2, and the negative reciprocal of โ2 is found by changing the sign, giving a positive value, and finding the reciprocal, one half.
The gradients of two perpendicular lines are always negative reciprocals of each other.
For example, the perpendicular gradient to 1 over 8 would be โ8, and the perpendicular gradient to โ5 over 4 would be 4 over 5.
This also means the gradients of perpendicular lines always multiply to give โ1.
You can use these facts to answer questions about perpendicular gradients, even when there's no graph.
Let's look at an example question.
Which of these lines is perpendicular to ๐ฆ equals 3๐ฅ add 4: 2๐ฆ equals 4๐ฅ subtract 3, โ3๐ฅ add ๐ฆ equals 3, or 3๐ฆ equals 12 subtract ๐ฅ?
To find this out, we need to find the gradient of each line.
Remember that ๐ฆ equals ๐๐ฅ add ๐ represents the general equation of a straight line. When written in this form, with ๐ฆ as the subject, the coefficient of ๐ฅ, m, is the gradient of the straight line.
So, the gradient of ๐ฆ equals 3๐ฅ add 4 is 3.
Then to solve the question, we need to make ๐ฆ the subject of each equation, and then use the ๐ฅ coefficient to determine the gradient. For 2๐ฆ equals 4๐ฅ subtract 3, dividing both sides by 2 gives ๐ฆ equals 2๐ฅ subtract 3 over 2.
This is now in the form ๐ฆ equals ๐๐ฅ add ๐, and so the gradient is 2.
For โ3๐ฅ add ๐ฆ equals 3, adding 3๐ฅ to both sides gives ๐ฆ equals 3๐ฅ add 3, showing that the gradient is 3. This is the same as the gradient of ๐ฆ equals 3๐ฅ add 4, meaning these two lines are actually parallel.
And for 3๐ฆ equals 12 subtract ๐ฅ, dividing by 3 and then rearranging shows the gradient is โ1 over 3. Negative one third and 3 are negative reciprocals of each other, so this means that 3๐ฆ equals 12 subtract ๐ฅ is perpendicular to ๐ฆ equals 3๐ฅ add 4. +
Higher โ Quiz โ Equations of parallel and perpendicular lines
Practise what you have learned about equations of parallel and perpendicular lines with this quiz for Higher tier.
Now that you have revised equations of parallel and perpendicular lines, why not try looking at equations of a line and calculating gradient?
Play Sudoku with BBC Bitesize!
Every weekday we release brand new easy, medium and hard Sudoku puzzles. Perfect for testing your skill with numbers and logic.

More on Algebra
Find out more by working through a topic
- count15 of 17

- count16 of 17

- count17 of 17
