Practical questions
You will complete eight Practical Activity Groups (PAGs) if you are studying GCSE Physics, and 16 if you are studying GCSE Combined Science (six of these are in Physics). You could be asked questions about the apparatus, methods, safety precautions, results, analysis and evaluation of these experiments.
There is one PAG in the Energy section:
- P5 Energy, eg investigation of energy changes and efficiency of bouncy balls
Learn about practicals with Dr Alex Lathbridge
Listen to the full series on BBC Sounds.
Dr Alex Lathbridge answers questions about practicals.
Sample question 1 - Foundation
Question
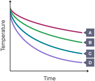
Susie does some experiments with heating and cooling water.
Susie pours hot water into 4 test tubes.
Look at the diagram:
The water cools down.
Susie measures the temperatures of the water in each test tube as it cools.
Look at the graph of her results:
Which line shows the results for the test tube with 40 g of water?
Choose from A, B, C or D. Explain your answer. [2 marks]
OCR Gateway Science, GCE Physics, Paper B751, June 2015.
Tube A [1]
It has most (or more) mass/energy/water/volume. [1]
Sample question 2 - Foundation
Question
Microwave ovens are used to heat food.
Chris looks at information about three different microwave ovens.
He wants to compare the three ovens. He wants to know which oven heats food the fastest.
Describe an experiment Chris could do to find this out. [3 marks]
OCR Gateway Science, GCE Physics, Paper B751, June 2014.
Suitable equipment or use of equipment, any one from:
- thermometer
- stopwatch
- measure time to cook the food
- measure a temperature
Fair testing, any two from:
- same amount of food/same mass of food/same volume of food/same meal
- same container
- same time/same time intervals
- same starting temperature
Method, maximum of two from:
- measure temperature rise
- (by) measuring the start and finishing temperatures
- measure time to heat the food up to same temperature
[3]
Sample question 3 - Higher
Question
Kate investigates how well different balls bounce.
She drops different balls from the same height and measures the height the balls bounce.
She repeats the experiment three times for each ball.
Her results are shown in the table.
| Ball | Drop height (cm) | 1st reading bounce height (cm) | 2nd reading bounce height (cm) | 3rd reading bounce height (cm) | Mean bounce height (cm) |
| Blue | 100 | 61 | 62 | 60 | 61 |
| Green | 100 | 60 | 31 | 59 | 50 |
| White | 100 | 84 | 86 | 85 | 85 |
| Yellow | 100 | 26 | 24 | 26 |
| Ball | Blue |
|---|---|
| Drop height (cm) | 100 |
| 1st reading bounce height (cm) | 61 |
| 2nd reading bounce height (cm) | 62 |
| 3rd reading bounce height (cm) | 60 |
| Mean bounce height (cm) | 61 |
| Ball | Green |
|---|---|
| Drop height (cm) | 100 |
| 1st reading bounce height (cm) | 60 |
| 2nd reading bounce height (cm) | 31 |
| 3rd reading bounce height (cm) | 59 |
| Mean bounce height (cm) | 50 |
| Ball | White |
|---|---|
| Drop height (cm) | 100 |
| 1st reading bounce height (cm) | 84 |
| 2nd reading bounce height (cm) | 86 |
| 3rd reading bounce height (cm) | 85 |
| Mean bounce height (cm) | 85 |
| Ball | Yellow |
|---|---|
| Drop height (cm) | 100 |
| 1st reading bounce height (cm) | 26 |
| 2nd reading bounce height (cm) | 24 |
| 3rd reading bounce height (cm) | |
| Mean bounce height (cm) | 26 |
Kate forgot to record one of the results for the yellow ball.
a) Suggest the value of the missing result. [1 mark]
Josh does an experiment with bouncing balls.
He does his experiment with a drop height of 200 cm.
One ball bounces 100 cm.
Josh says that this ball is a better bouncer than any of Kate's.
b) Use the data and ideas about efficiency to explain why Josh is incorrect. [2 marks]
Josh uses a new ball. He says this ball is an amazing bouncer.
He says if you drop it from 200 cm it will bounce to a height of 250 cm.
c) Explain why this is not possible. [2 marks]
OCR Gateway Science, GCE Physics, Paper J249, 2016 - Higher.
a) 28 [1]
b) Josh's ball is only 50% efficient [1]
And any one from:
- Kate's red is 76% efficient
- Kate's blue is 61% efficient
- Kate's white is 85% efficient
[1]
c) Idea there is fixed energy in system/can't be (more than) 100% efficient. [1]
Idea that extra energy is heeded for this to happen. [1]