Organic chemistry - (CCEA)Testing for alkanes and alkenes

An organic chemical contains the element carbon. There are four different homologous series of organic compounds discussed here: alkanes, alkenes, alcohols and carboxylic acids.

Part ofCombined ScienceFurther chemical reactions, rates and equilibrium, calculations and organic chemistry

Testing for alkanes and alkenes

Bromine water

You can use bromine water, which is an orange solution, to distinguish between alkanes and alkenes.

Image caption,
There is no change when bromine water is mixed with an alkane, but it turns colourless when mixed with an alkene.

Addition reactions with different reactants

Alkenes can react with different types of chemicals during addition reactions.

Alkene + hydrogen → alkane

This process is called hydrogenation, and it requires a catalyst.

For example:

propene + hydrogen → propane

Molecular structure of propene hydrogen propane

Alkene + water (steam) → alcohol

This process is called . It requires a temperature of approximately 300°C and a .

For example:

ethene + water (steam) → alcohol

Ethene + water - ethanol

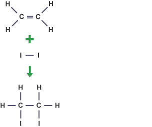
Chlorine, bromine or iodine can be added to an alkene. These reactions are usually spontaneous. Here are some examples (you would not be expected to name the product of any of these reactions but you would be expected to draw it or write its formula)

ethene + chlorine → 1,2-dichloroethane

Molecular structure of dichloroethane.

ethane + iodine →1,2-diiodoethane

Molecular structure of diiodoethane